〔作者简介〕 张磊, 男, 1987年生, 2015年于中国地震局地球物理研究所获固体地球物理学博士学位, 主要研究方向为地震地球化学与地震监测预报技术, E-mail: lzhang87@163.com。
动力加卸载过程中的断层气体运移和富集特征, 是评价地下介质受力状态和构造活动程度的重要指标之一。呼图壁地下储气库为研究气体地球化学变化特征与应力应变之间的关系提供了天然的实验场地。呼图壁地下储气库加压存储阶段,土壤气中Rn、 CO2、 Hg和H2浓度的观测结果表明, 在非储气库区和断层处, 土壤气浓度及变化趋势为背景值特征, 可能揭示出断层的活动状态较弱。而在储气库区内观测到了土壤气中H2和Hg浓度显著升高的现象, 最大值分别为5.551×10-4和53ng/m3, 而且H2和Hg浓度异常的测量位置较为一致。土壤气中Hg、 H2与Rn、 CO2的差异性变化趋势, 可能与气体的产生机理和响应机制不同有关。土壤气中H2和Hg的浓度可反映出地下储气库内的压力变化和裂隙通道, 可揭示出储气库注气对断层活动性的影响程度。研究结果为分析呼图壁地下储气库注采气对断层活动性的影响提供了新的依据。
The migrating and enriching of fault gas during dynamic load-unload process are important indexes to evaluate the stress state and tectonic activity of underground medium. The Hutubi underground gas storage provides a natural experiment site for the analysis of the relationship between the gas geochemistry and the stress-strain status. In this paper, the soil gas concentrations of Rn, CO2, Hg and H2 during the gas injection in the Hutubi underground gas storage were analyzed. The results show that the soil gas contents and changing trend are close to the background value in the non-reservoir area and fault zone, which may reveal the weak activity of the fault. Significantly higher concentrations of soil gas H2 and Hg are observed in the gas storage area, where H2 maximum reaches 5.551×10-4 and Hg maximum reaches 53ng/m3. Moreover, the abnormal soil gas H2 and Hg measurement locations are more consistent. The variation trends of soil gas Hg, H2, Rn, and CO2may be related to the different gas generation and response mechanisms. The concentrations of soil gas H2 and Hg are sensitive to the variation of pressure and the development of cracks in the underground gas storage, and they can reveal gas injection’s effect on fault activity. This study provides a new basis for analyzing the influence of gas injection and withdrawal in Hutubi underground gas storage on fault activity.
构造气体能够有效地揭示隐伏活断层位置和构造活动状态, 并被广泛应用在地震科学研究中(伍宗华等, 1996; Ciotoli et al., 2007; 李营等, 2009; 孙小龙等, 2016, 2017; Zhou et al., 2017)。土壤气是构造气体研究的重要组成, 前人在土壤气的时空变化特征及其与构造活动的机理等方面已取得显著进展, 例如土壤气浓度的空间变化揭示断裂带深部流体逸出和运移路径(Zhou et al., 2010; Li et al., 2013), 跨断层土壤气揭示断裂带结构特征(Ciotoli et al., 2007; Annunziatellis et al., 2008; Sun et al., 2018)。断裂带作为地壳放气的通道, 通过观察断裂带土壤气中的Rn、 Hg、 CO2和H2等气体组分的时空变化特征, 能灵敏地获得所在区域的地壳放气情况, 洞察地下介质的变化和区域应力应变状态, 从而判断构造和地震活动性(汪成民等, 1991; Zhou et al., 2016; Li et al., 2017; Yang et al., 2018)。
新疆呼图壁地下储气库(Hutubi underground gas storage, 以下简称储气库), 是西气东输管网的大型配套系统, 2013年6月建成投入使用, 库区面积约16km2, 设计总库容为1.07× 1010m3, 生产库容为4.51× 109m3, 气藏中部地下深度3585m(李杰等, 2016)。储气库气量调节由注气与采气两部分构成, 储气库在周期性的注气和采气过程中, 内部产生巨大的压力差, 使储气库内部载荷和压力发生变化(Shapiro et al., 2007; 李杰等, 2016), 储气库上岩石盖层和断层会产生一系列弹性变化, 如GPS观测资料显示地表盖层在储气库注采过程中水平方向上存在明显的 “ 呼吸效应” (王迪晋等, 2016), 在地表观测到形变与储气库注采气压力变化具有较好的相关性(李杰等, 2016; 陈威等, 2016)。在储气库注采气过程中, 由于地下压力的变化, 是否会引起断层活动性的增强, 是备受关注的科学问题。因此, 通过监测储气库不同时期的地下逸出气体变化特征, 有助于了解地下的应力应变状态, 为分析断层活动性提供依据。
本文通过监测储气库土壤气中Rn、 CO2、 Hg和H2的浓度变化, 分析储气库与断层带气体的运移和富集特征, 同时结合区域地震资料, 分析储气库断层活动性。研究结果为分析呼图壁地下储气库注采气对区域断层活动的影响提供了地球化学依据。
呼图壁地下储气库位于新疆昌吉州呼图壁县, 地理位置处于天山北麓中段, 准噶尔盆地南缘(图1), 海拔360~460m, 属中温带大陆性气候, 年平均气温7.4℃, 年降水量182.9mm, 年蒸发量1926.7mm(方伟等, 2017)。研究区域位于呼图壁活动背斜, 呼图壁背斜为NWW向展布的长轴断背斜, 长轴40km, 短轴8km, 两翼倾角6° ~15° , 在地表表现为一轻微隆起, 地下7~8km侏罗纪煤系地层中的滑脱面向上扩展, 形成断坡, 断坡顶端形成呼图壁背斜(邓起东等, 1999)。呼图壁背斜形成于构造活动强度最大的喜马拉雅运动晚期, 可能为更新世以来约1Ma(仵宗涛等, 2017)。该背斜属于逆断裂扩展或断裂弯曲型背斜, 控制背斜形成和发展的逆断裂仍处于地下 “ 盲” 状态, 断裂尚未抵达地表面(陈立春, 2011)。呼图壁背斜作为1个极小的构造单元, 其整体沉降幅度受天山隆升的构造背景影响, 储气库库区的整体沉降变形约-3mm/a(李杰等, 2016)。
| 图1 天山南北地质及呼图壁地下储气库位置示意图(据陈书平等, 2008修改) F1塔里木板块北缘深断裂; F2哈里克套断裂; F3中天山北缘深断裂; F4 克拉美丽断裂Fig. 1 Geologic map of Tianshan Mountains and location of Hutubi underground gas storage (after CHEN Shu-ping et al., 2008). |
呼图壁背斜被呼图壁断裂切割为上、 下2个断背斜, 下盘发育了呼图壁北断裂, 储气库位于呼图壁北断裂与呼图壁断裂带之间(表1, 图2)。储气库自上而下发育的地层为第四系西域组(Q1x)、 新近系独山子组(N2d)、 塔西河组(N1t)、 沙湾组(N1s)、 古近系安集海河组(E2-3a)、 紫泥泉子组(E1-2z)和白垩系上统东沟组(K2d)(曹锡秋, 2013)。储气库气层为E1-2z, 储层段上部区域盖层为E2-3a厚层塑性泥岩, 泥岩累计厚度达1912m, 最大泥岩单层厚度54m, 为1套比较稳定的泥岩隔层(宋岩等, 2002; 田孝茹等, 2017)。
| 表1 呼图壁断层要素表(曹锡秋, 2013) Table1 Parameters of Hutubi faults(after CAO Xi-qiu, 2013) |
| 图 2 呼图壁地下储气库、 断层和土壤气测量点分布示意图Fig. 2 Distribution map of Hutubi underground gas storage, faults and measuring points of soil gas. |
呼图壁地下水的水化学特征参数表明储气库内地层水环境比较封闭, 受强烈构造活动影响较弱(胡绪龙等, 2008)。储气库由SN面逆掩断层封堵, 盖层厚度大且稳定, 具有非常好的油气保存条件, 具有封闭大型气田的能力(曹锡秋, 2013; 田孝茹等, 2017; 仵宗涛等, 2017)。
前期李杰等(2016)开展了呼图壁地下储气库地表形变的研究, 在储气库内和跨储气库布设了形变综合观测墩, 为了便于综合对比观测, 土壤气测量1号测线与形变观测墩HKPS— HKPN测线一致, 对观测墩间隔点较远的区域进行了加密观测。同时为了对比分析, 布设了2号和3号土壤气测线(图2)。在1-8测点旁布设了1-8-1和1-8-2 2个测点, 3个测点沿呼图壁北断层, 组成1-8测线。测点编号1-6、 1-8、 1-8-2、 2-4、 2-5和3-4 6个测量点位于注采井旁, 3-2位于天然气探井旁。
在测量点上, 采用钢钎在土壤中打孔, 孔径约30mm, 孔深约80cm, 然后将麻花钻取样器插入孔中, 仪器连接麻花钻取气口进行测量。为了避免抽气对H2和Hg结果产生影响, 新采气孔首先测量H2, 测汞仪通过三通连接2个采气孔进行测量。Rn浓度使用Alpha GUARD P2000测氡仪测定, Hg浓度使用Lumex RA915M测汞仪测定, CO2浓度使用北京华云GXH-3010E1E二氧化碳仪测定, H2浓度使用杭州超钜ATG-300H测氢仪测定。测量前, 测氡仪使用标准氡室进行校准, 体积活动响应平均值为0.924。测汞仪使用仪器内部标准汞源进行校正, 测量误差 < 5% 。二氧化碳仪使用不同浓度的标准CO2气体进行校准, 测量误差 < 6% 。测氢仪在测量前使用标准H2进行标定, 标准曲线R2为0.997。2017年9月和11月2期土壤气测量处于旱季, 测量前和测量过程中未有明显降雨, 而且地表植被不发育, 减少了降雨和生物作用对土壤气结果的影响。测量获得了2017年9月和11月储气库加压存储阶段2期土壤气中的Rn、 CO2、 Hg和H2数据(表2)。
| 表2 呼图壁地下储气库土壤气Rn、 Hg、 CO2和H2浓度数据 Table2 Data of Rn, Hg, CO2 and H2 in Hutubi underground gas storage |
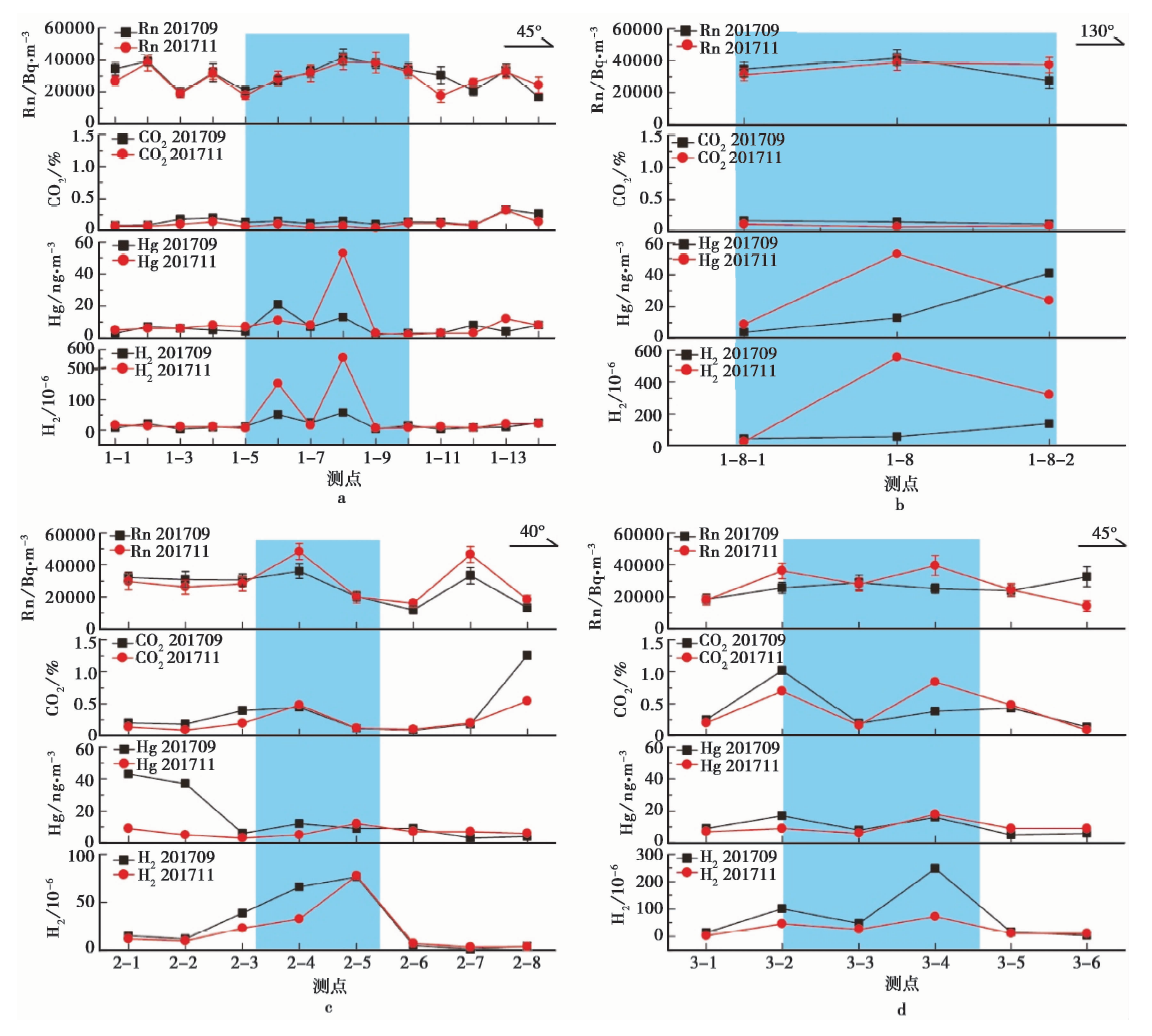
对于1号主测线, 2017年9月Rn、 CO2、 Hg和H2浓度分别为16757~41901Bq/m3、 0.08%~0.33%、 2~21ng/m3和3.38× 10-6~57.34× 10-6; 其浓度平均值分别为29919Bq/m3、 0.15%、 7ng/m3、 17.75× 10-6; 11月的数据显示, Rn、 CO2、 Hg和H2浓度分别为17315~38631Bq/m3、 0.04%~0.32%、 2~53ng/m3和5.95× 10-6~5.551× 10-4; 其浓度平均值分别为28684Bq/m3、 0.10%、 10ng/m3, 61.07× 10-6。1号测线2期结果对比显示, Rn和CO2的浓度变化基本稳定, Hg和H2在测线上浓度分布特征基本一致, 但是在储气库内的2个位置上(1-6和1-8)其浓度出现大幅度的升高变化(图3a)。尤其是1-8测点, 11月Hg和H2测量结果较9月测量分别呈现出4倍和9.7倍的升高变化, 可能与该点对储气库的注气响应最灵敏有关。除去1-6和1-8测点, 储气库内的Hg、 CO2和H2浓度和储气库区外的浓度比较一致(图3a)。
| 图 3 呼图壁地下储气库地区土壤气浓度剖面图 蓝色矩形方框内为储气库的示意范围, 图a、 b、 c和d横轴为测量点编号Fig. 3 Profiles of soil gas concentrations in the area of Hutubi underground gas storage. |
对于2号测线(图3c), H2浓度呈现出储气库区内高、储气库区外低的变化趋势, 储气库区内2-4点Rn和CO2浓度较储气库边缘2-3、 2-5和2-6位置的高。2期观测结果显示储气库外的一些测量点出现大幅度的浓度变化, 如2-7的Rn、 2-8的CO2、 2-1和2-2的Hg, 这些测量点的其他组分未出现较大的幅度变化, 可能与环境影响有一定关系, 需进行多期次的对比分析其影响因素。对于3号测线(图3d), 3-2和3-4测量点不仅有Hg和H2土壤气异常, 而且Rn和CO2也存在高值异常, 这可能与测量点所处位置和地下气体分布有关。
沿呼图壁北断层的1-8、 1-8-1和1-8-2这3个测点均位于储气库区内, 1-8-1点土壤气2期数据变化基本一致, 1-8点和1-8-2这2点2期的Rn和CO2浓度较为一致, 但是Hg和H2浓度发生了变化(图3b)。沿呼图壁断层的1-5测点土壤气4种组分为背景特征。在断层附近, 其周边又存在注采井或探井的测量点土壤气浓度出现异常高值的特征。
H2能快速对构造活动产生响应。氢元素具有质量轻、 迁移速度快和穿透力强的优越性, 在地壳中分布较广泛, 尤其是集中分布并释放于断裂带中(车用太等, 2015)。在岩石受力变形时, 晶格结构破坏可直接释放出矿物晶格中的H2, 新鲜岩石裂隙和破裂面容易发生水岩反应直接产生H2(Kita et al., 1982), 地壳中高温和活断层产生的局部高温高压可以使H2S和CH4转化为H2(上官志冠等, 2001)。范雪芳等(2016)发现地震前1周断层土壤H2浓度突升, 变化幅度达正常背景值的20多倍。那么在地下应力状态改变时, 可观测到H2的异常现象。H2可能是监测呼图壁断层活动状态的理想气体。
H2浓度异常可能与注采井有关。本文研究中位于断层附近且周边无注采井的1-5和1-8-1测量点, H2浓度为背景特征, 说明该位置的断层未发生明显的变形与构造活动。同一断层上的1-8-1、 1-8-2和1-8测量点H2浓度的差异性变化, 说明H2浓度高值可能与其位于天然气注采井旁有关。据此分析H2的浓度异常可能是由于大量高压天然气的注入导致注采井下方拉张裂隙的增加(王芳, 2017), 或者因地下压力的扰动导致注采井周边地下孔隙的连通, 地下土壤孔隙、 裂隙中被封存的H2和(或)天然气中的H2, 经裂隙向上运移, 而H2的扩散速度快, 由此观测到土壤气中的H2浓度升高。
由于Hg的扩散、 穿透能力很强, 在地下温度和压力变化时, Hg蒸气可沿构造裂隙上升至地表, 形成土壤气和地下水等介质中Hg浓度异常(Zhou et al., 2010; Zhang et al., 2014)。实验表明岩石在受到压力临破裂前有Hg析出(Varshal et al., 1984)。地下爆破实验结果表明, 爆破后断层上土壤气中的Hg和水中的Hg浓度明显增加, 而且距离爆破中心越近, 浓度越高(金仰芬等, 1987)。Hg具有强烈的吸附富集作用, 如汶川科学钻探1号孔在汶川地震主滑动面上岩心总Hg含量和总有机碳含量具有较好的一致性(Yang et al., 2015)。一个不容忽视的原因是, 天然气中常含较高含量的Hg, 如中国西北地区准噶尔、 塔里木和柴达木盆地天然气中Hg的平均浓度在170~9480ng/m3, 平均值为2823 ng/m3(陈践发等, 2001), 远高于本研究中土壤气的Hg的浓度。
3条土壤气测线的Hg和H2的变化趋势和异常位置较为一致, 说明了Hg和H2浓度的变化机理类似。Hg的浓度异常可能是由于富集在地下介质中的Hg的平衡状态发生改变, Hg解吸附并通过裂隙向上运移, 观测到土壤气中Hg的浓度高值异常和变化特征, 也不排除存在天然气中的Hg沿着裂隙运移到地表。
Rn属于惰性元素, 半衰期仅为3.85d。土壤气中Rn的浓度受基岩类型、 裂隙发育、 区域构造应力场、 运移载体、 地下水等环境因素的影响(Sun et al., 2018), 因此不同区域土壤Rn浓度的存在差异性。Rn在运移过程中有相应的载体(如CO2、 CH4)则更易迁移(Etiope et al., 2002; Ciotoli et al., 2007)。王喜龙等(2017)发现首都圈35条剖面上, 土壤气Rn和CO2的浓度的相关系数为0.46, 土壤气Rn和CO2的通量相关系数为0.66, 正相关性说明首都圈地区土壤气CO2是Rn迁移的主要载体。本研究中土壤气Rn和CO2浓度的相关系数在1号、 2号和3号测线上分别为0.008、 0.016和0.247, 说明了CO2不是Rn迁移的主要载体, 这可能与位于富含天然气的储气库区有关。
前人研究了地震过程中的气体变化机理, 如日本Yoro活动断裂带地下水逸出气中H2伴随微震活动出现浓度升高的趋势, 但是其他气体(Rn、 CH4、 He、 N2)未出现类似异常, 震前观测到的地下水逸出气中H2浓度的增加体现震前蠕滑阶段裂隙水和破裂面之间的物理化学反应, 是由于应力腐蚀作用导致的地球化学异常(Ito et al., 1999)。汶川科学钻探随钻泥浆气体浓度在地震后立即或几min内发生剧烈变化, 不同的气种对地震的响应不同, 气体变化是由动态应力变化控制的, 而不是静态应力变化(Gong et al., 2015, 2017)。那么, 在1号测线, 土壤气中Rn、 CO2与Hg、 H2的差异性变化趋势, 可能与气体的产生机理和响应机制不同有关。
通过小震活动及其分布能了解区域的构造活动特征(陈佳维等, 2017), 为判断地下逸出气体异常是否与断层活动有关提供依据。为了充分了解区域的小震活动特征, 本文选取了储气库周边20km范围内小震目录(图4)。2013年1月1日至2017年12月31日的地震目录显示, 共记录到地震184次, 其中≤ 1级地震102次, 1.1~2.0级地震71次, 2.1~3.0级地震9次, 3.1~4.0级地震2次, 其中最大震级3.1级地震发生2次, 分别发生于2013年8月5日和2017年7月3日(图5a)。地震月频次(N)值在2013年8月达到最高, 为26次, 其余N> 10次的月份集中在2016年4月到9月间(图5b)。储气库库区在每年3月到11月初处于注气增压阶段, 11月至第二年3月处于采气降压阶段(李杰等, 2016)。地震活动显示在2次最大地震和地震月频次(N> 10)较高的月份, 储气库均处在注气增压阶段, 两者存在一定的吻合性。
| 图 4 呼图壁地下储气库地震分布图(2013年1月1日— 2017年12月31日)Fig. 4 Distribution map of the earthquakes around Hutubi underground gas storage (from January 1, 2013 to December 31, 2017). |
| 图5 呼图壁地下储气库地震活动时间序列(2013年1月1日— 2017年12月31日)Fig. 5 Time and frequency series of earthquakes around Hutubi underground gas storage (from January 1, 2013 to December 31, 2017). |
小震活动是否与储气库注采气有关?Gan等(2013)发现油田注入天然气和CO2可能会触发地震, 震级可达到3级或者更大, 震中通常与注入井相距2km内。储气库周边2km范围内地震频次和震级较低(图4), 显示出该区域断层活动状态弱。本研究中2017年9月和11月2期土壤气测量时间处于地震频次和震级较低水平(图5), 储气库区断层及库区外无注采井的测量点, 土壤气浓度结果显示为背景变化, 未有较大异常, 反映出断层活动状态较弱, 这与小震结果是一致的。本文在储气库断层及2侧观测到的土壤气浓度背景变化, 其来源可能是地下气体持续稳定地沿孔隙喉道和早期活动断裂孔隙运移到地表(田孝茹等, 2017), 表现出背景变化特征。由于未有新生裂隙导致的断层气体浓度升高, 因而在断层及其附近上未观测到明显的多种土壤气高值异常。
本文从土壤气地球化学特征的角度说明了呼图壁地下储气库注气对区域断层活动的影响。2期土壤气测量结果, 对于深入研究储气库土壤气变化机理和揭示的断层活动特征存在一定的局限性, 需进一步开展储气库不同注采气阶段的土壤气测量, 对比分析储气库土壤气特征与应力应变间的关系, 揭示断层活动性特征。
本文开展了呼图壁地下储气库土壤气中的Rn、 CO2、 Hg和H2的浓度测定和地球化学特征分析, 获得了如下研究结果: 1)在储气库库区内观测到了土壤H2和Hg浓度的峰值现象。在储气库加压存储过程中, 储气库注采井影响范围内土壤气H2和Hg浓度发生了较大幅度的变化; 2)在储气库外和断层上, 未观测到明显的多种土壤气异常现象, 可能揭示出断层的活动性较弱; 3)土壤气H2和Hg可能是判定储气库气体扩散和断层活动性的有效手段。
土壤气结果为分析注采气对区域断层活动的影响提供了地球化学参考依据。进一步开展呼图壁地下储气库不同注采阶段的多期数多测量点的土壤气测量, 可了解影响储气库土壤气异常的机理和判定断层活动特征。
致谢 新疆维吾尔自治区地震局李杰高级工程师、 程瑞忠高级工程师和王琼研究员以及中国地震局地质研究所许建东研究员对本研究提供了建议和帮助, 审稿专家对本文提出了宝贵的修改意见, 在此一并表示感谢。
The authors have declared that no competing interests exist.
| [1] |
|
| [2] |
|
| [3] |
|
| [4] |
|
| [5] |
|
| [6] |
|
| [7] |
|
| [8] |
|
| [9] |
|
| [10] |
|
| [11] |
|
| [12] |
|
| [13] |
|
| [14] |
|
| [15] |
|
| [16] |
|
| [17] |
|
| [18] |
|
| [19] |
|
| [20] |
|
| [21] |
|
| [22] |
|
| [23] |
|
| [24] |
|
| [25] |
|
| [26] |
|
| [27] |
|
| [28] |
|
| [29] |
|
| [30] |
|
| [31] |
|
| [32] |
|
| [33] |
|
| [34] |
|
| [35] |
|
| [36] |
|
| [37] |
|
| [38] |
|
| [39] |
|
| [40] |
|
| [41] |
|
| [42] |
|
| [43] |
|
| [44] |
|

