〔作者简介〕 王璞, 男, 1995年生, 现为中国地震局地壳应力研究所固体地球物理专业在读硕士研究生, 主要从事地应力测量与地质力学研究, E-mail: wangpu171@mails.ucas.ac.cn。
区域地应力场状态的特征参数对于区域地壳稳定性分析、 深部能源和资源开采以及深部基础设施建设都至关重要。 主应力方向是地应力场的重要特征指标之一。 在众多基于钻孔的地应力测量与估算方法中, 利用钻孔孔壁诱发裂缝(DITF)确定区域应力场最大水平应力方向是最直接的方法之一。 利用跨沂沭断裂带布置的3个深度约400m的钻孔, 于2012—2014年开展了为期3a的高精度超声波钻孔电视重复扫描录井及水压致裂应力测量工作, 以期准确确定区域的地应力场特征。 通过录井图像精确识别出竖向裂缝共199组, 其中包括钻孔诱发裂缝99组、 水压致裂裂缝43组、 后期生长裂缝57组。 经循环统计方法确定的沂沭断裂带区域应力场的最大水平主应力优势方向为92.28°, 并在优势方向附近首次发现竖向裂缝自然生长现象, 进一步验证了利用超声波钻孔电视确定应力方向的准确性。
The parameters of regional in-situ stress field are very important for the analysis of regional crustal stability, extraction of deep energy resource materials, and deep infrastructure construction. Moreover, the principal stress orientation is one of the important characteristic indicators of regional in-situ stress field. At present, there are many methods to determine the stress field, mainly including the method based on borehole(in-situ measurement)or focal mechanism solution(inversion). Comparing the way of in-situ measurement and inversion measurement, the in-situ measurement not only can measure the orientation of the in-situ stress, but also can obtain the magnitude of the in-situ stress. In the existing in-situ stress measurement and estimation methods based on borehole, the stress orientation is mainly determined by borehole induced failure structures when drilling or coring. Due to the concentration of tectonic stress in the borehole wall after drilling, the rock mass in the borehole wall area may be damaged, and borehole induced failure structures including borehole breakout(BO)and borehole-induced tensile fracture(DITF)will occur. Usually, borehole breakout occurs near the minimum principal stress orientation, and tensile cracks occur near the maximum principal stress orientation. In these two types of borehole induced failure structures, the DITF is more widely used to determine stress in-situ orientation, because DITF is the direct response of the orientation of the maximum horizontal stress in the stress field. The Yishu fault zone is the main active fault in the southern middle segment of Tan-Lu fault zone and the MS8.5 Tancheng earthquake in 1668 occurred in this area, so determining the characteristics of the stress field in this area has important reference value for the judgment of Yishu fault stability. In order to accurately determine the orientation of the modern stress field of the Yishu fault zone, we drilled three boreholes with a depth of about 400m in the Yishu fault zone from 2012 to 2014, the connection direction of the three borehole positions is perpendicular to the strike of fault zone and covered the main faults and its branch faults. In the three deep boreholes, we use high-precision ultrasonic drilling TV system to implement a three-year repeat scan logging and hydraulic fracturing in-situ stress measurement with a view to analyzing the characteristics of the regional in-situ stress field. Through logging images, a total of 199 vertical fractures were accurately identified based on the characteristics of the damaged structure, including 99 drilling-induced fractures, 43 hydraulically induced fractures, and 57 growth fractures in the later stages(natural growth), simultaneously, we use the cyclic statistical method to determine the dominant horizontal principal stress orientation of the Yishu fault zone. As the result, the principal stress orientation is about 92.28° which is basically no change compared with previous research results, and the natural growth of vertical fractures was discovered for the first time near the dominant orientation. In order to verify this phenomenon, we compare the rock tensile strength of the borehole core with the stress profile obtained from the measured in-situ stress value in this research. Through Brazil Splitting Strip Test, Brazil Splitting Pyramid Test, Hollow Rock Pillar Test(oil injection and water injection)and the direct tensile test, we obtained the rock tensile strength of about 6~11MPa. Theoretical analysis results show that the maximum circumferential stress in the borehole is larger than the tensile strength of the rock, which satisfies the basic conditions for causing natural tensile failure, and it is theoretically possible to form the natural tension fracture in the current stress environment. This new phenomenon can further verify the accuracy of ultrasonic drilling TV in determining in-situ stress orientation, and acoustic borehole televiewer with high resolution can be widely used to in-situ stress measurement in the future.
目前确定应力场的方法已有多种, 主要包括基于钻孔的方法(实测)和基于震源机制解(反演)2类。 以最新版世界应力图(WSM)数据库为例, 其中震源机制数据(63%)、 钻孔破裂与崩落数据(23%)以及现场应力测量数据(9%)总占比超过95%, 利用钻孔进行实测已成为主动获取当前区域应力场信息的主要方法。 钻孔取芯后, 井壁的构造应力集中会导致孔壁区域的岩体破裂, 并出现诱发破坏现象。 大量原位观测和测试结果表明, 这些诱发破坏现象可以可靠地记录其中1个水平主应力的方向(Moos et al., 1990; Zoback et al., 2003; Davatzes et al., 2005)。 其中, 诱发破坏现象主要包括钻孔崩落(BO)和钻孔诱发裂缝(DITF)2类, 它们也是利用钻孔估算区域地应力场特征的重要依据, 目前已被广泛用于确定区域应力场的主应力方向的研究中。
在这2种典型现象中, 钻孔崩落是应力集中引起的井眼横截面扩大的现象, 崩落的长轴方向大致垂直于最大水平主应力方向(Bell et al., 1979), 后被许多钻孔观测资料所证实(Gough et al., 1982; Hickman et al., 1985; Vernik et al., 1992), 同时也在中国大陆科学钻探主孔(李朋武等, 2005; 王连捷等, 2006)、 台湾车笼埔断裂带科研钻孔(Wu et al., 2007)、 汶川地震断裂带科学钻探项目(聂昕等, 2011; 侯颉等, 2018)以及大量石油钻孔的相关研究中得到了应用, 相关技术已基本发展成熟。 但由于崩落形成条件的限制, 通常在1km以深的钻孔中该现象才较为明显, 中浅孔(约500m深)所形成的差应力很难满足崩落形成条件, 便无法采用此方法确定应力方向。 在浅孔应力环境下, 由于岩石的抗拉强度通常较低(如花岗岩仅为10~15MPa), 钻孔孔壁容易产生拉伸裂缝, 故在中浅孔中可用精确识别的钻井诱发裂缝(DITF)确定区域地应力场方向。 而相对于较明显的钻孔崩落现象(BO), 钻孔拉伸破坏(DITF)通常仅为1条或几条间断分布的竖向裂缝, 很难对其进行精确识别。
钻孔图像录井技术的发展为识别这类裂缝提供了可能。 广义钻井成像方法主要应用了光、 电、 磁、 声、 超声波等技术, 目前国内外广泛使用的钻孔成像方法主要有2类, 即光学钻孔电视和超声波钻孔电视。 普通光学类主要借助光学拍摄记录系统对钻孔周边介质进行扫描记录, 该方法对钻孔内的光学条件要求较高, 故只适用于光线较好的干孔或清水孔; 而超声波类主要利用探头发射和接收的超声波信号对钻孔孔壁进行扫描记录, 接收记录的反射信号强度和时程可反映钻孔介质的密度和强度, 对识别钻孔内部的细微结构有明显优势。
沂沭断裂带作为郯庐断裂带南段的主要活动断裂, 自20世纪80年代以来, 已有大量研究人员通过原位地应力测量(李方全等, 1982; 赵仕广等, 1984; 张鹏等, 2013; 丰成君等, 2017)、 震源机制反演(魏光兴等, 1988; 王鹏等, 2015)以及数值模拟(陈连旺等, 2011)等方法对这一区域内的地应力场特征进行了探讨, 但受限于钻孔与地应力测量实验成本, 研究区内的实测地应力数据较少。 查询中国地震局地壳应力研究所最新版本的中国大陆地壳应力环境基础数据库发现, 研究区内实测应力数据共计63条, 绝大多数应力测量结果来自于工程区钻孔(矿区占60%以上), 钻孔数据质量较差(质量为C级及以上的仅占5%), 很少能够系统地针对这一地区 “ 两堑加一垒” 的地质结构布置科研深孔进行地应力的测量研究, 特别是借助钻孔成像技术对地应力场特征进行精细分析的研究成果几乎为零。 基于以上研究现状, 本研究在前人成果的基础上, 根据沂沭断裂带 “ 两堑加一垒” 的地形特点, 在断裂带宽度范围内跨4条断层布设3个钻孔(深400m), 并首次采用ALTABI-40高精度超声波钻孔电视进行为期3a的长期钻孔电视录井观测与水压致裂地应力测量工作, 对获取的数据资料进行了详细的解译分析, 得到这一区域准确的地应力场特征信息。 同时, 在观测期间又发现如裂隙生长这种地球动力学变化过程中的现象, 为解决地球动力学相关问题提供了一些新的思路。
一般在取芯后, 由于区域应力场的非均一性, 钻孔孔壁周向会出现不同程度的应力集中, 在环向应力最大的方向出现钻孔崩落(BO), 环向应力最小的方向出现钻井诱发裂缝(DITF)现象, 它们的形成条件与岩石强度、 主应力方向以及主应力大小直接相关, 三者的函数关系如图 1所示, 具体为(Zang et al., 2010)
式中, σ φ φ 为切向应力(或钻孔孔壁上的环向应力), φ 为孔壁位置与SH的夹角, 当φ =0、 π (即cos2φ =1)时, 环向应力取最小值
因此, 钻孔崩落(BO)和钻井诱发裂缝(DITF)是判断水平主应力方向的重要指标, 分别表示最小水平主应力Sh与最大水平主应力SH方向, 特别是在中等深度钻孔中较为明显(深度< 5km), 这已经被众多科研成果所证实(Moos et al., 1990; Zoback et al., 2003; Davatzes et al., 2005), 且在目前现有的世界应力图(WSM)数据库中约19%的地应力场方向指标是根据钻孔崩落和钻井诱发裂缝确定的, 这也从另一个方面体现了该方法确定的地应力场特征具有数据量大、 直观性强以及准确性高等特点。
高清数字钻孔电视(High-resolution digital borehole TV system)是目前构建 “ 钻孔电子岩心” 与 “ 数字化电子岩心库” 的基本手段, 它所采集的是连续、 完整、 原状高清晰的钻孔图像(谭显江等, 2012)。 本次研究工作中所使用的ABI40超声波钻孔成像综合测试系统(integrative acoustic borehole imaging system)的前身为AltFAC40, 是由Mount Sopris公司将多种钻孔测量探头高度智能化集合而成的一套综合测量工具。 ABI40超声波钻孔扫描测试仪由专门设计的压电陶瓷晶体产生超声波能量, 频率约为1.2MHz。 激发超声波后通过换能器发射, 穿过超声波探头和钻孔内的介质液体, 到达钻孔液体与钻孔岩体壁之间的界面。 在此, 一部分声束能量被反射回到传感器, 剩余的声波以改变后的速度进入钻孔岩体介质传播。 该仪器可以在PVC套管中使用, 不仅可记录从套管反射回来的声波, 而且以记录从钻孔壁反射回来的声波。 在实际测量过程中, 首先通过绞车将探头送入孔底, 在同步微电机的带动下超声波传感器匀速顺时针转动, 向孔壁发射扫描脉冲并接收反射信号, 后经处理单元处理形成1个完整的测井数据。 利用WellCAD 4.3软件可对现场采集的数据进行分析处理和解释, 经处理后得到的图像如图 2 所示, 根据图像可识别的典型钻孔结构如图 3 所示。
从图 3 中可以看出, 通过高精度钻孔电视所解译的典型地质结构或诱发破坏结构的特点十分明显, 主要结构包括以下4种: 1)密集裂缝或断层, 即图像上分布较多的暗色正弦或余弦曲线和较宽的暗色条带; 2)典型倾斜节理裂缝, 图像灰度均一, 可明显看到深色的正弦或余弦曲线; 3)竖直裂缝, 表现为2条相互平行的深色垂直线; 4)井壁崩落, 在图像中颜色较暗, 崩落区呈现为2条竖直的黑色条带。
在实际钻孔破坏图像中, 由于应力集中位置的差异, 钻孔诱发拉伸裂缝根据形态通常又分为一般拉伸裂缝(TF)与中心线-花瓣裂缝(PCF)2种。 中心线-花瓣裂缝形成时像花朵的花瓣, 尽管之前很少有学者关注它, 但仍有部分研究表明它们的中心线方向与SH平行, 而且这种裂缝可延伸到地层, 增加地层的孔隙度(Li et al., 1998; Davatzes et al., 2010)。 3种破坏现象的示意图以及识别标准如图 4 所示。
| 图 4 钻孔破坏结构示意图及识别标准(Zhang et al., 2010; Patlan et al., 2012)Fig. 4 Schematic diagram of borehole failure structure and identification criteria (after Zhang et al., 2010; Patlan et al., 2012). |
一般的钻孔诱发裂缝在实际识别过程中并不总是完全对称2条直线(图4中的TF与PCF), 即使是在局部范围内裂缝也很有可能是不连续的。 为了消除确定裂缝方向的主观性, Lee等(1989)引入了循环统计方法对裂缝进行统计, 将每条裂缝分解为2组正交矢量, 在分量方向上求平均后再进行矢量求和, 把统计范围缩小到0°~180°内, 有效避免了裂缝不对称成组的现象, 具体计算步骤为
式中, X和Y分别是沿着0和90°方向的合成矢量的平均分量, E0为合成矢量的方向, n是裂缝数量; L=(X2+Y2)0.5 是所得向量的平均长度, SD为合成矢量的标准差。 Lee等(1989)最先利用此方法与正、 余弦函数拟合方法确定了水压致裂的裂缝迹线或节理平面线不完整时的破裂方位, 此后也有大量研究者(Hayashi et al., 1991; Warpinski et al., 1997; Haimson et al., 2003; Kim et al., 2017)采用同样的方法分别对韩国南海地区、 韩国浦项地区、 科罗拉多皮肯斯盆地等地区的地应力方向进行了详细探讨, 并与当地震源机制解信息、 钻孔崩落数据等其他能够反映应力场方向的信息进行了对比, 均得到了较为统一的结果。
沂沭断裂带是中国东部规模最大的深大断裂带——郯庐断裂带的山东段, 南起山东郯城, 北至渤海莱州湾, 总体延伸约360km, 整体走向为 10°N~25°E, 由几条平行的主干断裂组成, 其分支断裂带的构造十分复杂(方仲景等, 1986; 国家地震局地质研究所, 1987)。 沂沭断裂带在经历了大规模的左行平移、 伸展、 拉张及挤压作用后, 出现了 “ 两堑夹一垒” 的地形构造, 自东向西分别为昌邑-大店断裂(F1)、 安丘-莒县断裂(F2)、 沂水-汤头断裂(F3)、 鄌郚-葛沟断裂(F4)以及东地堑内部的白芬子-浮来山断裂(F5)(晁洪太等, 1998), F1与F2之间为安丘-莒县地堑、 F2与F3之间为汞丹山地垒、 F3与F4之间为马站-苏村地堑, 其具体断层空间展布特征及现今的活动性概况如图 5 所示。
断裂带内的几条主干断裂现代断裂活动和地震活动均较强烈, 第四纪活动具有东西分带、 南北分段的特征。 东地堑断裂在全新世活动强烈, 西地堑断裂在第四纪晚期活动不明显。 历史地震记录中, 于郯庐断裂带发生的全部7级以上强震均位于沂沭断裂带的段落上, 该带历史上曾发生过70BC安丘7级和1668AD郯城8.5级强烈地震, 目前其上的地震活动主要集中在安丘-莒县断裂带和昌邑-大店断裂带处, 且历史地震断层的地表位错明显(方仲景等, 1980; 王鹏等, 2015; 王志才等, 2015; 许汉刚等, 2016; 张鹏等, 2019)。 区域构造应力场特征是分析活动断层失稳的重要基础(苏道磊等, 2016), 目前此区域的主应力优势方向已由多种方法确定。 丰成君等(2017)通过分析郯庐断裂带附近6个600~1 000m深的孔地应力测量数据, 认为郯庐断裂带山东段现今的构造应力场主压应力优势方向为N70°E; 王鹏等(2015)利用郯庐断裂带山东段2007—2014年ML> 1的小地震震源解分析得到该区域的主应力方向为NEE-SWW向。
本研究使用ALTABI40超声波钻孔扫描测试仪, 对布设于山东省潍坊市昌乐县红河镇(HHZK)、 临朐县上林镇(SLZK)以及昌邑市石埠镇(QSZK)的3个深孔进行扫描录井, 再将超声波测井仪获得的数据导入WellCAD 4.3软件进行分析, 结果如图 5 所示。 从中获取完整的录井影像资料后, 据此识别出单个裂缝。 竖向裂缝的信息识别通常分为2步: 1)创建 “ 钻孔破坏” 日志将其覆盖于声波电视图像之上, 在 “ 钻孔破坏” 日志中创建相对应的裂缝矢量图; 2)通过角度转换将日志中的视方位角调整为真方位角, 进行结果分析。 图 6 给出了3个钻孔中几处典型的钻井诱发裂缝(DITF)位置处的井下电视图像。 需要说明的是, 在第1次录井工作之前并未进行过压裂工作, 故可以确定如图所示的3次录井资料中同时存在的竖向裂缝均为钻孔诱导的拉伸裂缝(DITF)。
| 图 6 钻孔录井(连续3a)的图像及竖向拉伸裂缝识别图 a HHZK录井图像; b QSZK录井图像; c SLZK录井图像Fig. 6 Drill hole logging diagram and vertical tensile crack identification map. |
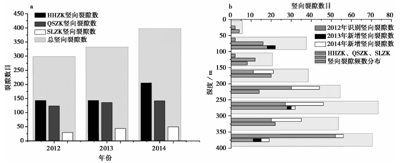
本次观测中, 3个钻孔的实际录井深度分别为398m(HHZK)、 404m(QSZK)和171m(SLZK), 且均出现如图 6 所示的钻孔诱导拉伸裂缝。 其中, HHZK与QSZK录井资料最为完整, 所包含的裂缝质量较高。 SLZK所处地区地层主要为凝灰岩地层, 其录井图像中存在大量黑色小洞, 由此导致录井资料并不完整, 最终获取到的裂缝数目较少。 值得注意的是, 在HHZK的2014年录井资料中, 已识别出的竖向裂缝在原破裂方向上出现了约0.5m的沿伸破裂现象, 类似的破坏导致在长期观测过程中竖向裂缝数目存在一定的波动。 为了详细分析具体的变化情况, 进一步对获取到的3个钻孔的竖向裂缝数目进行综合统计, 结果如图 7 所示。
获取到详细的竖向裂缝数据后, 综合分析3个钻孔中竖向裂缝随时间及钻孔深度的变化。 图7a展示了裂缝数随时间的变化, 竖向裂缝的总数与3个钻孔中各自的裂缝数目均随时间出现增加的现象, 其中QSZK的裂缝数目呈逐年增加的变化趋势, SLZK与HHZK中的竖向裂缝数目分别只在2013年与2014年出现增加。 在随深度变化方面, 如图7b所示, 竖向裂缝的整体数目有超过70%出现在钻孔深度> 150m的位置, 其中SLZK由于录井资料不全(深度< 170m), 只有已记录范围内的裂缝数; QSZK与HHZK 2个钻孔的裂缝主要分布于深200~400m处, 且新增裂缝也都出现在这一优势深度范围内。
竖向裂缝优势方向代表最大水平主应力方向, 其原理如式(1)所示。 通常同一组裂缝的方位角相差180°(关于钻孔轴对称), 其走向方向为最大水平主应力方向。 但在实际钻孔中, 由于钻孔倾角、 原生节理面以及井壁介质的非均一性导致同一组裂缝的破裂位置很难出现恰好平行的情况。 因此, 本研究采用Lee等(1989)所引入的循环统计方法, 对所有的裂缝角度进行优劣角转换(中心线-花瓣型竖向裂缝直接进行主应力方向判断), 统一化归为0°~180°范围内进行统计分析。 均采用此方法对3个钻孔所获得的裂缝方位角进行分析, 结果如图 8 所示。
分析图8可知, 通过3个钻孔的竖向裂缝方位角循环统计结果可以得到裂缝方位角的优势方向。 优势方向角均位于85°~110°之间, 综合统计得到的优势方向角为92.28°。 每次统计时将新增裂缝数进行区分, 其中灰色为2012年第1次识别出的竖向裂缝, 白色与黑色部分各代表2013年与2014年新增裂缝。 HHZK与QSZK的竖向裂缝优势方向为近EW向, SLZK的竖向裂缝方向为近SEE向; 观察2013年及2014年的新增裂缝结果可发现其方位角均在已识别出的竖向裂缝的优势范围内, 即新增裂缝的优势角度与最先出现的DITF角度一致。
钻孔的竖向裂缝包括钻孔诱发拉伸裂缝、 水压致裂竖直裂缝以及自然生长裂缝, 其方位角均反映了最大水平主应力的方向。 综合分析三者可得到研究区内的最大水平主应力方向为92.28°, 标准差为3.37°, 这与近年来研究区及邻近范围内已有的应力场研究结果(张鹏等, 2013; 李兵等, 2014; 刘阳, 2015; 郑红霞等, 2015; 刘卓岩等, 2017)也基本吻合。 同时, 结果显示在最大水平主应力方向出现多处新生裂缝, 可进一步确定研究区域的最大水平主应力方向为近EW向。
基于钻孔电视长期观测资料所解译的3个不同位置的钻孔中的竖向裂缝数目均有增加, 如图 9 所示。 以裂缝数增幅最大的HHZK为例, 可明显观察到新增裂缝出现的时间与位置均不相同, 除图 6 所示的沿已有裂缝扩展的形式外, 大量新增裂缝也出现在钻孔岩心完整的位置。 造成裂缝数量增加的可能原因有以下2个方面: 1)录井观测期间水压致裂实验造成的压裂裂缝; 2)长期应力状态平衡后裂缝生长或出现新生裂缝。 除此之外, 在裂缝识别过程中的人为误差也会造成裂缝数目的波动。 如果要精确区分不同成因的新生裂缝, 必须对统计结果开展进一步分析。
为了区分不同成因的裂缝, 首先假设竖向裂缝只包括钻孔诱导裂缝、 水压致裂裂缝以及生长裂缝3种, 这里所定义的生长裂缝代表在钻孔取芯后的长期应力状态平衡过程中生成的竖向裂缝, 而非钻孔取芯后立即出现的井壁拉伸裂缝(DITF)。 显然3种裂缝的形成条件均遵循式(1)所示的关系, 钻孔诱发裂缝与生长裂缝均为天然形成, 它们反映了不同时间尺度(长期与瞬间)的应力集中造成的井壁破坏现象。 而水压致裂裂缝完全由主观因素造成, 通常较易识别, 现通过统计对裂缝的种类进行区分。
在长期观测过程中, 3个钻孔中因水压致裂实验导致的压裂段共有35段, 其中HHZK有10段, QSZK有15段, SLZK有10段, 理论上最多形成70条压裂裂缝。 通过对压裂段钻井电视记录进行对比, 部分压裂段并未出现明显的压裂裂缝, 不同钻孔的压裂位置以及是否出现压裂裂缝的示意图见图 10。 结果表明, HHZK中出现压裂裂缝段/总压裂段的比例为27/29, QSZK为10/15, SLZK为6/10。 对比新增长的裂缝总数可知, 水压致裂裂缝占其中的一部分, 根据水压致裂裂缝的分布情况可对新增裂缝进行详细分类, 结果如表1所示。
| 表1 新增裂缝分类统计表 Table1 Statistical table of category of new fractures |
由于上述分类结果具有假设前提, 故还需进一步判断钻孔的应力条件是否满足新增裂缝中生长裂缝的形成条件。 在理论分析中, 环向最大应力大于岩石抗拉强度时才会出现拉伸裂缝, 即满足
绿色圆点与绿色直线为实测应力值计算得到的井壁拉伸应力大小及其与深度的拟合关系。 为进一步确定井壁破坏条件, 本研究采用多种方法对所取的岩心样品进行了抗拉强度测试(邢博瑞, 2014; 王成虎等, 2017), 包括巴西劈裂垫条实验(BST)、 巴西劈裂角锥实验(BST#)、 空心岩柱实验(注油HCTo、 注水HCTw)以及直接拉伸实验(TT), 所得到的岩石抗拉强度为6~11MPa(淡黄色部分)。 进而对比井壁拉伸应力随深度的函数关系图可知, 深约150m以下的钻孔井壁的应力条件就已经满足拉伸破坏条件, 这也与实际观测中70%以上竖直裂缝位于钻孔200m以深的情况相符, 也进一步肯定了钻孔中存在自然生长的裂缝。
沂沭断裂带及其邻近地区是中国东部地震活动高频地区, 历史上断裂带周围曾发生过许多中强地震, 使得该区域的应力状态一直备受关注。 目前针对这一研究区已有大量应力场研究资料, 本文主要采用基于钻孔中竖向裂缝的方法分析了近代应力场主应力的方向特征, 同时与近年来大量钻孔实测结果进行了对比, 结果具有良好的一致性。 基于震源机制解的反演法是研究区域应力场的另一重要方法, 将其与本研究结果相结合, 可更好地描述应力场的方向特征。 通过统计研究区内的地应力研究结果(包括OC、 HF等方法), 同时考虑到区域近年来小地震数据十分丰富, 故收集2010—2018年研究区内100多个震源机制解(数据来自中国地震局地球物理研究所), 采用Michael(1987)提出的方法进行反演, 得到3个主应力方位, 并与本文结果进行对比, 结果如图 12 所示。
| 图 12 不同研究方法结果的对比图 a 原位测量结果(HF、 OC); b 竖向裂缝分析结果; c 震源机制反演结果Fig. 12 Comparison of results of different research methods. |
通过对前人的实测结果统计, 近年来小地震震源机制解反演方法与本文竖向裂缝所确定的最大水平主应力方向相对比, 发现三者的优势方向基本一致, 均处于NEE—近EW向范围内。
本研究基于在沂沭断裂带布置的3个钻孔进行为期3a的高精度井下电视长期观测结果开展了一系列分析, 得到以下结论:
(1)本次钻孔实测结果表明, 中浅深度范围内(深度< 400m)的钻孔崩落现象较少、 竖向裂缝较多, 故在中浅钻孔中更适合利用孔壁竖向裂缝方位数据确定区域的地应力方向。
(2)研究区的3个钻孔井壁均出现明显的竖向裂缝, 可精确识别出在HHZK中存在103组、 QSZK中存在71组、 SLZK中存在25组, 共计199组。 在所有竖向裂缝中钻孔诱发的拉伸裂缝(DITF)占主导, 其次为小部分的水压致裂裂缝与后期生长裂缝, 70%以上竖向裂缝位于200~400m深度之间, 且钻孔内未出现井壁崩落现象。
(3)采用循环统计法统计得到的HHZK、 QSZK与SLZK钻孔中的竖向裂缝方位角分别为89.81°、 96.34°和108.56°, 综合统计结果表明区域内最大水平主应力方向为92.28°(近EW向), 与前人的研究结果基本吻合。 3个钻孔在最大水平主应力方向附近均出现新生的水压致裂裂缝与部分裂缝生长现象, 进一步验证了竖向裂缝法得到的最大水平主应力方向的准确性。
高精度井下电视为竖向裂缝分析区域应力场方向提供了有效途径, 对于现代应力场研究具有重要意义。 高精度井下电视资料与其他原位实验方法相比, 可更简单、 直观地反映区域应力场特点, 可在基于钻孔的区域应力场研究中广泛应用。
致谢 中国地震局地球物理所郭祥云老师提供了部分小地震震源机制的最新解算数据, 并在数据使用过程中给予了悉心指导与帮助。 在此表示衷心感谢!
| [1] |
|
| [2] |
|
| [3] |
|
| [4] |
|
| [5] |
|
| [6] |
|
| [7] |
|
| [8] |
|
| [9] |
|
| [10] |
|
| [11] |
|
| [12] |
|
| [13] |
|
| [14] |
|
| [15] |
|
| [16] |
|
| [17] |
|
| [18] |
|
| [19] |
|
| [20] |
|
| [21] |
|
| [22] |
|
| [23] |
|
| [24] |
|
| [25] |
|
| [26] |
|
| [27] |
|
| [28] |
|
| [29] |
|
| [30] |
|
| [31] |
|
| [32] |
|
| [33] |
|
| [34] |
|
| [35] |
|
| [36] |
|
| [37] |
|
| [38] |
|
| [39] |
|
| [40] |
|
| [41] |
|
| [42] |
|
| [43] |
|
| [44] |
|
| [45] |
|

