SEISMOLOGY AND GEOLOGY ›› 2025, Vol. 47 ›› Issue (1): 90-116.DOI: 10.3969/j.issn.0253-4967.2025.01.007
• Review • Previous Articles Next Articles
WANG Qian1)(
), PENG Lai1,2), JIANG Yu-han1), ZHOU Qi-chao1,2), GAO Xiao-qi1),*(
)
Received:2024-01-24
Revised:2024-04-13
Online:2025-02-20
Published:2025-04-09
Contact:
GAO Xiao-qi
汪倩1)(
), 彭莱1,2), 蒋雨函1), 周启超1,2), 高小其1),*(
)
通讯作者:
高小其
作者简介:汪倩, 女, 1998年生, 2025年于应急管理部国家自然灾害防治研究院所获地球物理学专业硕士学位, 主要从事地下流体和地球化学研究工作, E-mail: wang_qian98@163.com。
基金资助:WANG Qian, PENG Lai, JIANG Yu-han, ZHOU Qi-chao, GAO Xiao-qi. THE DISTRIBUTION AND RESEARCH PROGRESS OF MAIN MUD VOLCANOES IN CHINA[J]. SEISMOLOGY AND GEOLOGY, 2025, 47(1): 90-116.
汪倩, 彭莱, 蒋雨函, 周启超, 高小其. 中国泥火山的主要分布及研究进展[J]. 地震地质, 2025, 47(1): 90-116.
Add to citation manager EndNote|Ris|BibTeX
URL: https://www.dzdz.ac.cn/EN/10.3969/j.issn.0253-4967.2025.01.007
| 采样点 | pH | 阳离子浓度/mmol·L-1 | 阴离子浓度/mmol·L-1 | ||||||
|---|---|---|---|---|---|---|---|---|---|
| Na+ | K+ | Mg2+ | Ca2+ | Cl- | S | HC | N | ||
| 艾其沟泥火山 | 7.2~7.6 | 46.3~98.1 | 0.18~1.94 | 1.82~4.16 | 0.43~1.77 | 16.8~36.8 | 0.09~0.51 | 未检出 | 0.7 |
| 安集海泥火山 | 7.7~8.1 | 156.0~261.2 | 0.12~1.70 | 3.28~6.75 | 0.61~1.70 | 119.5~198.4 | 0.43~1.4 | 未检出 | 1.60 |
| 独山子泥火山 | 7.9~8.5 | 161.5~235.8 | 0.09~1.82 | 2.97~4.17 | 0.77~2.15 | 207.4~315.3 | 0.49~1.75 | 未检出 | 0.01~0.68 |
| 白杨沟泥火山 | 8.3~9.5 | 64.1~263.1 | 0.01~2.83 | 0.14~0.69 | 0.09~0.61 | 49.3~196.7 | 0.32~2.68 | 21.8~80.0 | 0.01~0.68 |
| 白杨沟附近河水 | 8.0 | 6.62 | 0.60 | 1.46 | 3.51 | 4.67 | 2.64 | 9.2 | 1.23 |
Table1 Chemical parameters of mud water ejected from mud volcanoes and nearby rivers in the Junggar region of Xinjiang(After Ma et al., 2022; MA Yong et al., 2022)
| 采样点 | pH | 阳离子浓度/mmol·L-1 | 阴离子浓度/mmol·L-1 | ||||||
|---|---|---|---|---|---|---|---|---|---|
| Na+ | K+ | Mg2+ | Ca2+ | Cl- | S | HC | N | ||
| 艾其沟泥火山 | 7.2~7.6 | 46.3~98.1 | 0.18~1.94 | 1.82~4.16 | 0.43~1.77 | 16.8~36.8 | 0.09~0.51 | 未检出 | 0.7 |
| 安集海泥火山 | 7.7~8.1 | 156.0~261.2 | 0.12~1.70 | 3.28~6.75 | 0.61~1.70 | 119.5~198.4 | 0.43~1.4 | 未检出 | 1.60 |
| 独山子泥火山 | 7.9~8.5 | 161.5~235.8 | 0.09~1.82 | 2.97~4.17 | 0.77~2.15 | 207.4~315.3 | 0.49~1.75 | 未检出 | 0.01~0.68 |
| 白杨沟泥火山 | 8.3~9.5 | 64.1~263.1 | 0.01~2.83 | 0.14~0.69 | 0.09~0.61 | 49.3~196.7 | 0.32~2.68 | 21.8~80.0 | 0.01~0.68 |
| 白杨沟附近河水 | 8.0 | 6.62 | 0.60 | 1.46 | 3.51 | 4.67 | 2.64 | 9.2 | 1.23 |
| 断裂带 | 样品编号 | 流体地球化学组成/mmol·L-1 | δD /‰ | δ18O /‰ | (87Sr/88Sr) /‰ | |||||
|---|---|---|---|---|---|---|---|---|---|---|
| Cl- | S | Na+ | Ca2+ | K+ | Mg2+ | |||||
| 触口断裂带 | 中仑1号 | 135.6 | 0.41 | 223.5 | 1.90 | 3.06 | 2.21 | -38.43 | -3.7 | 0.7101 |
| 中仑2号 | 261.5 | 0.20 | 388.3 | 1.19 | 7.49 | 1.23 | -34.03 | 0.18 | 0.7113 | |
| 中仑3号 | 167.1 | 0.28 | 263.6 | 1.38 | 4.14 | 3.02 | -32.1 | -0.7 | 0.7105 | |
| 关子岭 | 79.9 | 0.23 | 171.5 | 0.16 | 3.82 | 0.32 | -17.85 | 5.15 | 0.7108 | |
| 旗山断裂带 | 新养女湖1号 | 122.7 | 0.14 | 150.7 | 0.29 | 0.79 | 0.34 | -16.9 | 5.77 | 0.7108 |
| 新养女湖2号 | 110.3 | 0.03 | 140.7 | 0.21 | 0.71 | 0.26 | -17.6 | 6.23 | 0.7108 | |
| 新养女湖3号 | 111.3 | 0.15 | 143.7 | 0.43 | 0.70 | 0.43 | -15.7 | 6.03 | 0.7107 | |
| 古亭坑断裂带 | 盐水坑 | 436 | 431.3 | 2.41 | 1.86 | 4.04 | -8.88 | 0.65 | 0.7106 | |
| 月世界 | 313 | 312.3 | 1.08 | 1.21 | 1.62 | -12.73 | 1.47 | 0.7100 | ||
| 小滚水 | 364.7 | 372.7 | 0.76 | 1.60 | 2.18 | -11.97 | 0.06 | 0.7102 | ||
| 滚水坪 | 331 | 341.3 | 0.92 | 1.87 | 2.08 | -10.9 | 1.27 | 0.7106 | ||
| 纵谷断裂带 | 罗山1号 | 227.5 | 123.0 | 47.8 | 0.51 | 0.42 | -1.7 | -0.6 | 0.7068 | |
| 罗山2号 | 214 | 116.5 | 44.9 | 0.53 | 0.51 | -1.3 | -0.4 | 0.7069 | ||
| 雷公火 | 357 | 146.5 | 92.6 | 1.02 | 3.38 | -1.6 | -1.2 | 0.7083 | ||
Table2 Geochemical composition and stable hydrogen and oxygen isotope characteristics of mud volcanic fluids in Taiwan region(After Chao et al., 2013)
| 断裂带 | 样品编号 | 流体地球化学组成/mmol·L-1 | δD /‰ | δ18O /‰ | (87Sr/88Sr) /‰ | |||||
|---|---|---|---|---|---|---|---|---|---|---|
| Cl- | S | Na+ | Ca2+ | K+ | Mg2+ | |||||
| 触口断裂带 | 中仑1号 | 135.6 | 0.41 | 223.5 | 1.90 | 3.06 | 2.21 | -38.43 | -3.7 | 0.7101 |
| 中仑2号 | 261.5 | 0.20 | 388.3 | 1.19 | 7.49 | 1.23 | -34.03 | 0.18 | 0.7113 | |
| 中仑3号 | 167.1 | 0.28 | 263.6 | 1.38 | 4.14 | 3.02 | -32.1 | -0.7 | 0.7105 | |
| 关子岭 | 79.9 | 0.23 | 171.5 | 0.16 | 3.82 | 0.32 | -17.85 | 5.15 | 0.7108 | |
| 旗山断裂带 | 新养女湖1号 | 122.7 | 0.14 | 150.7 | 0.29 | 0.79 | 0.34 | -16.9 | 5.77 | 0.7108 |
| 新养女湖2号 | 110.3 | 0.03 | 140.7 | 0.21 | 0.71 | 0.26 | -17.6 | 6.23 | 0.7108 | |
| 新养女湖3号 | 111.3 | 0.15 | 143.7 | 0.43 | 0.70 | 0.43 | -15.7 | 6.03 | 0.7107 | |
| 古亭坑断裂带 | 盐水坑 | 436 | 431.3 | 2.41 | 1.86 | 4.04 | -8.88 | 0.65 | 0.7106 | |
| 月世界 | 313 | 312.3 | 1.08 | 1.21 | 1.62 | -12.73 | 1.47 | 0.7100 | ||
| 小滚水 | 364.7 | 372.7 | 0.76 | 1.60 | 2.18 | -11.97 | 0.06 | 0.7102 | ||
| 滚水坪 | 331 | 341.3 | 0.92 | 1.87 | 2.08 | -10.9 | 1.27 | 0.7106 | ||
| 纵谷断裂带 | 罗山1号 | 227.5 | 123.0 | 47.8 | 0.51 | 0.42 | -1.7 | -0.6 | 0.7068 | |
| 罗山2号 | 214 | 116.5 | 44.9 | 0.53 | 0.51 | -1.3 | -0.4 | 0.7069 | ||
| 雷公火 | 357 | 146.5 | 92.6 | 1.02 | 3.38 | -1.6 | -1.2 | 0.7083 | ||
| 样品编号 | 离子含量/mmol·L-1 | δ18O /‰ | δD /‰ | |||||
|---|---|---|---|---|---|---|---|---|
| Cl- | Na+ | N | K+ | Mg2+ | Ca2+ | |||
| SYNH01-1 | 123.8 | 165.6 | 0.38 | 0.72 | 0.477 | 0.123 | 6.54 | -23.72 |
| SYNH01-2 | 114.7 | 155.6 | 0.33 | 0.77 | 0.428 | 0.160 | 6.34 | -22.68 |
| SYNH01-3 | 125.6 | 170.6 | 0.42 | 0.92 | 0.449 | 0.171 | 6.59 | -23.52 |
| SYNH01-4 | 125.7 | 167.1 | 0.40 | 0.79 | 0.424 | 0.125 | 6.56 | -21.44 |
| SYNH01-5 | 108.4 | 144.86 | 0.40 | 0.68 | 0.397 | 0.134 | 6.59 | -23.33 |
| SYNH01-6 | 110.1 | 150.5 | 0.32 | 0.70 | 0.409 | 0.114 | 6.45 | -22.99 |
| SYNH01-7 | 124.3 | 167.6 | 0.47 | 0.88 | 0.481 | 0.174 | 6.28 | -21.35 |
| SYNH02-2 | 216.1 | 289.1 | 0.32 | 1.34 | 1.230 | 0.389 | 5.58 | 0.4 |
| SYNH03-1 | 129.3 | 176.5 | 0.33 | 0.81 | 0.531 | 0.151 | 6.24 | -12.90 |
| SYNH03-2 | 198.1 | 254.5 | 0.49 | 1.10 | 0.621 | 0.127 | 7.01 | -7.45 |
| SYNH04-1 | 107.8 | 135.9 | 0.45 | 0.64 | 0.361 | 0.205 | 6.29 | -21.20 |
| SYNH04-2 | 150.1 | 186.6 | 0.30 | 0.84 | 0.634 | 0.280 | 6.78 | -9.88 |
Table3 Geochemical composition and content of fluids ejected from four vents of the Xinyangnuhu mud volcano(After MA Xiao-li et al., 2017)
| 样品编号 | 离子含量/mmol·L-1 | δ18O /‰ | δD /‰ | |||||
|---|---|---|---|---|---|---|---|---|
| Cl- | Na+ | N | K+ | Mg2+ | Ca2+ | |||
| SYNH01-1 | 123.8 | 165.6 | 0.38 | 0.72 | 0.477 | 0.123 | 6.54 | -23.72 |
| SYNH01-2 | 114.7 | 155.6 | 0.33 | 0.77 | 0.428 | 0.160 | 6.34 | -22.68 |
| SYNH01-3 | 125.6 | 170.6 | 0.42 | 0.92 | 0.449 | 0.171 | 6.59 | -23.52 |
| SYNH01-4 | 125.7 | 167.1 | 0.40 | 0.79 | 0.424 | 0.125 | 6.56 | -21.44 |
| SYNH01-5 | 108.4 | 144.86 | 0.40 | 0.68 | 0.397 | 0.134 | 6.59 | -23.33 |
| SYNH01-6 | 110.1 | 150.5 | 0.32 | 0.70 | 0.409 | 0.114 | 6.45 | -22.99 |
| SYNH01-7 | 124.3 | 167.6 | 0.47 | 0.88 | 0.481 | 0.174 | 6.28 | -21.35 |
| SYNH02-2 | 216.1 | 289.1 | 0.32 | 1.34 | 1.230 | 0.389 | 5.58 | 0.4 |
| SYNH03-1 | 129.3 | 176.5 | 0.33 | 0.81 | 0.531 | 0.151 | 6.24 | -12.90 |
| SYNH03-2 | 198.1 | 254.5 | 0.49 | 1.10 | 0.621 | 0.127 | 7.01 | -7.45 |
| SYNH04-1 | 107.8 | 135.9 | 0.45 | 0.64 | 0.361 | 0.205 | 6.29 | -21.20 |
| SYNH04-2 | 150.1 | 186.6 | 0.30 | 0.84 | 0.634 | 0.280 | 6.78 | -9.88 |
| 采样点编号 | 阳离子含量/mg·L-1 | 阴离子含量/mg·L-1 | 氢氧稳定同位素/‰ | ||||||
|---|---|---|---|---|---|---|---|---|---|
| Na+ | K+ | Mg2+ | Ca2+ | Cl- | S | HC | δD | δ18O | |
| 唢呐湖1号 | 833 | 92.8 | 13.5 | 127 | 93.3 | 56.3 | 未检出 | -79.7 | -9.3 |
| 唢呐湖2号 | 1009 | 104 | 8.7 | 100 | 258 | 92.1 | 未检出 | -92 | -10.5 |
| 唢呐湖3号 | 未检出 | 未检出 | 未检出 | 未检出 | 未检出 | 未检出 | 未检出 | 未检出 | 未检出 |
| 唢呐湖4号 | 412 | 25.4 | 3.83 | 4.94 | 168 | 86.7 | 未检出 | -75.2 | -7.5 |
| 唢呐湖5号 | 465 | 18.2 | 1.73 | 3.42 | 227 | 9 | 未检出 | -81.3 | -8 |
| 泥火山湖水 | 7059~29106 | 259~992 | 184~430 | 94.3~未检出 | 8534~38444 | 1810~7102 | 2465~5704 | -63.5~-34.2 | -3.8~2.2 |
| 周围水样 | 3413~10250 | 137~389 | 46.2~255 | 208~257 | 4157~13105 | 944~2645 | 2060~2171 | -120.4~-24.2 | -13.1~2.3 |
| 苟纠麦孕沟泥火山 | 29.0 | 35.0 | 282.24 | 4118.8 | 539.63 | 1470.8 | -8.74 | ||
Table4 Geochemical characteristics and stable hydrogen and oxygen isotope characteristics of the mud volcanic eruption fluid and surrounding water samples from both the Suona lake area and Goujiumaiyun trench area (After HU Dong-sheng et al., 1998; YAN Ze et al., 2018)
| 采样点编号 | 阳离子含量/mg·L-1 | 阴离子含量/mg·L-1 | 氢氧稳定同位素/‰ | ||||||
|---|---|---|---|---|---|---|---|---|---|
| Na+ | K+ | Mg2+ | Ca2+ | Cl- | S | HC | δD | δ18O | |
| 唢呐湖1号 | 833 | 92.8 | 13.5 | 127 | 93.3 | 56.3 | 未检出 | -79.7 | -9.3 |
| 唢呐湖2号 | 1009 | 104 | 8.7 | 100 | 258 | 92.1 | 未检出 | -92 | -10.5 |
| 唢呐湖3号 | 未检出 | 未检出 | 未检出 | 未检出 | 未检出 | 未检出 | 未检出 | 未检出 | 未检出 |
| 唢呐湖4号 | 412 | 25.4 | 3.83 | 4.94 | 168 | 86.7 | 未检出 | -75.2 | -7.5 |
| 唢呐湖5号 | 465 | 18.2 | 1.73 | 3.42 | 227 | 9 | 未检出 | -81.3 | -8 |
| 泥火山湖水 | 7059~29106 | 259~992 | 184~430 | 94.3~未检出 | 8534~38444 | 1810~7102 | 2465~5704 | -63.5~-34.2 | -3.8~2.2 |
| 周围水样 | 3413~10250 | 137~389 | 46.2~255 | 208~257 | 4157~13105 | 944~2645 | 2060~2171 | -120.4~-24.2 | -13.1~2.3 |
| 苟纠麦孕沟泥火山 | 29.0 | 35.0 | 282.24 | 4118.8 | 539.63 | 1470.8 | -8.74 | ||
| 采样点 | 泥火山喷出气体组成/% | δ13C/‰ | ||||||
|---|---|---|---|---|---|---|---|---|
| CH4 | C2H6 | C3H8 | CO2 | N2 | CH4 | C2H6 | CO2 | |
| 白杨沟泥火山 | 85.3~88.9 | 2.25~4.98 | 0~0.02 | 0.29~0.63 | 8.07~9.31 | -45.8~-45.0 | -23.9~-20.6 | 22.9~30.6 |
| 艾其沟泥火山 | 71.9~77.7 | 4.44~5.38 | 0.01~0.04 | 14.5~19.6 | 2.14~3.26 | -43.9~-40.9 | -27.3~-26.0 | 30.07 |
| 独山子泥火山 | 86.0~88.7 | 5.21~5.68 | 0.19~0.83 | 0.06~2.10 | 3.11~5.75 | -44.1~-39.0 | -28.4~-25.0 | 13.6~20.7 |
| 安集海泥火山 | 79.2~86.6 | 4.93~5.52 | 0~0.02 | 5.80~9.20 | 1.56~5.85 | -45.8~-45.0 | -23.1~-22.2 | 27~33.7 |
Table5 The composition and carbon isotope characteristics of gas emitted from mud volcanoes in the southern part of Junggar(After Ma et al., 2022)
| 采样点 | 泥火山喷出气体组成/% | δ13C/‰ | ||||||
|---|---|---|---|---|---|---|---|---|
| CH4 | C2H6 | C3H8 | CO2 | N2 | CH4 | C2H6 | CO2 | |
| 白杨沟泥火山 | 85.3~88.9 | 2.25~4.98 | 0~0.02 | 0.29~0.63 | 8.07~9.31 | -45.8~-45.0 | -23.9~-20.6 | 22.9~30.6 |
| 艾其沟泥火山 | 71.9~77.7 | 4.44~5.38 | 0.01~0.04 | 14.5~19.6 | 2.14~3.26 | -43.9~-40.9 | -27.3~-26.0 | 30.07 |
| 独山子泥火山 | 86.0~88.7 | 5.21~5.68 | 0.19~0.83 | 0.06~2.10 | 3.11~5.75 | -44.1~-39.0 | -28.4~-25.0 | 13.6~20.7 |
| 安集海泥火山 | 79.2~86.6 | 4.93~5.52 | 0~0.02 | 5.80~9.20 | 1.56~5.85 | -45.8~-45.0 | -23.1~-22.2 | 27~33.7 |
| 采样点 | 水溶性烃类气体含量/μL·kg-1 | δ13C/‰ | |||
|---|---|---|---|---|---|
| CH4 | C2H6 | C3H8 | CH4 | C2H6 | |
| 唢呐湖1号 | 1194 | 86.3 | 35.3 | -46.1 | -29.1 |
| 唢呐湖2号 | 684 | 36 | 13 | -47.2 | |
| 唢呐湖3号 | 2279 | 471 | 218 | -46.0 | -30.6 |
| 唢呐湖4号 | 594 | 37.9 | 14 | -46.6 | -28.1 |
| 唢呐湖5号 | 459 | 27.1 | 10.5 | -46.9 | |
Table6 Water soluble gas content and carbon isotope values from mud volcanoes in Qiangtang Basin, Tibet(After YAN Ze et al., 2018)
| 采样点 | 水溶性烃类气体含量/μL·kg-1 | δ13C/‰ | |||
|---|---|---|---|---|---|
| CH4 | C2H6 | C3H8 | CH4 | C2H6 | |
| 唢呐湖1号 | 1194 | 86.3 | 35.3 | -46.1 | -29.1 |
| 唢呐湖2号 | 684 | 36 | 13 | -47.2 | |
| 唢呐湖3号 | 2279 | 471 | 218 | -46.0 | -30.6 |
| 唢呐湖4号 | 594 | 37.9 | 14 | -46.6 | -28.1 |
| 唢呐湖5号 | 459 | 27.1 | 10.5 | -46.9 | |
| 采样编号 | 天然气组成/% | (C2H6+Ar) /% | 空气校正成分/% | |||||
|---|---|---|---|---|---|---|---|---|
| CH4 | N2 | O2 | CO2 | CH4 | N2 | CO2 | ||
| 中仑1号 | 12.17 | 5.26 | 0.27 | 81.71 | 0.55 | 12.33 | 4.34 | 82.78 |
| 中仑2号 | 8.63 | 3.54 | 0.10 | 87.24 | 0.51 | 8.67 | 3.2 | 87.62 |
| 关子岭1号 | 4.26 | 4.18 | 0.99 | 90.53 | 4.47 | 0.55 | 94.98 | |
| 关子岭2号 | 73.53 | 3.88 | 0.73 | 21.80 | 76.11 | 1.20 | 22.67 | |
| 水火同源 | 92.06 | 5.55 | 0.59 | 1.76 | 94.71 | 3.46 | 1.81 | |
| 小滚水 | 93.99 | 4.20 | 0.84 | 0.89 | 0.1 | 97.90 | 1.10 | 0.90 |
| 新养女湖1号 | 93.20 | 2.94 | 0.62 | 1.41 | 1.87 | 96.01 | 0.66 | 1.46 |
| 新养女湖2号 | 91.01 | 3.31 | 0.78 | 1.23 | 2.4 | 95.52 | 0.69 | 1.39 |
| 乌山顶泥火山 | 97.13 | 1.88 | 0.43 | 0.49 | 0.07 | 99.16 | 0.28 | 0.49 |
| 燕巢 | 95.41 | 2.92 | 0.65 | 0.99 | 0.01 | 98.44 | 0.53 | 1.02 |
| 滚水坪 | 92.60 | 2.61 | 0.60 | 3.78 | 0.39 | 95.33 | 0.39 | 3.89 |
| 恒春地火 | 83.36 | 9.83 | 2.27 | 0.33 | 4.09 | 93.47 | 1.55 | 0.36 |
| 罗山1号 | 91.20 | 7.76 | 0.53 | 0.07 | 0.44 | 93.56 | 5.93 | 0.07 |
| 罗山2号 | 89.39 | 9.29 | 0.70 | 0.03 | 0.59 | 92.47 | 6.91 | 0.03 |
| 雷公火泥火山 | 94.83 | 3.83 | 0.74 | 0.16 | 0.43 | 98.30 | 1.11 | 0.16 |
Table7 Gas content and geochemical characteristics of some mud volcanoes in Taiwan region(After Yang et al., 2004)
| 采样编号 | 天然气组成/% | (C2H6+Ar) /% | 空气校正成分/% | |||||
|---|---|---|---|---|---|---|---|---|
| CH4 | N2 | O2 | CO2 | CH4 | N2 | CO2 | ||
| 中仑1号 | 12.17 | 5.26 | 0.27 | 81.71 | 0.55 | 12.33 | 4.34 | 82.78 |
| 中仑2号 | 8.63 | 3.54 | 0.10 | 87.24 | 0.51 | 8.67 | 3.2 | 87.62 |
| 关子岭1号 | 4.26 | 4.18 | 0.99 | 90.53 | 4.47 | 0.55 | 94.98 | |
| 关子岭2号 | 73.53 | 3.88 | 0.73 | 21.80 | 76.11 | 1.20 | 22.67 | |
| 水火同源 | 92.06 | 5.55 | 0.59 | 1.76 | 94.71 | 3.46 | 1.81 | |
| 小滚水 | 93.99 | 4.20 | 0.84 | 0.89 | 0.1 | 97.90 | 1.10 | 0.90 |
| 新养女湖1号 | 93.20 | 2.94 | 0.62 | 1.41 | 1.87 | 96.01 | 0.66 | 1.46 |
| 新养女湖2号 | 91.01 | 3.31 | 0.78 | 1.23 | 2.4 | 95.52 | 0.69 | 1.39 |
| 乌山顶泥火山 | 97.13 | 1.88 | 0.43 | 0.49 | 0.07 | 99.16 | 0.28 | 0.49 |
| 燕巢 | 95.41 | 2.92 | 0.65 | 0.99 | 0.01 | 98.44 | 0.53 | 1.02 |
| 滚水坪 | 92.60 | 2.61 | 0.60 | 3.78 | 0.39 | 95.33 | 0.39 | 3.89 |
| 恒春地火 | 83.36 | 9.83 | 2.27 | 0.33 | 4.09 | 93.47 | 1.55 | 0.36 |
| 罗山1号 | 91.20 | 7.76 | 0.53 | 0.07 | 0.44 | 93.56 | 5.93 | 0.07 |
| 罗山2号 | 89.39 | 9.29 | 0.70 | 0.03 | 0.59 | 92.47 | 6.91 | 0.03 |
| 雷公火泥火山 | 94.83 | 3.83 | 0.74 | 0.16 | 0.43 | 98.30 | 1.11 | 0.16 |
| 断裂带 | 样品编号 | 气体成分/% | CH4/‰ | ||||
|---|---|---|---|---|---|---|---|
| Air | CH4 | CO2 | C2H6 | C3H8 | |||
| 触口断层 | 中仑泥火山 | 5.40~8.10 | 9.31~36.90 | 57.29~84.63 | 0.07~0.43 | -35.14~-33.68 | |
| 古亭坑断裂带 | 盐水坑 | 4.94 | 90.52 | 4.47 | 0.08 | ||
| 小滚水 | 1.25 | 97.50 | 1.22 | 0.04 | -60.22 | ||
| 月世界 | 1.47~1.55 | 97.43~97.49 | 0.96~1.00 | 0.04 | -56.16 | ||
| 滚水坪 | 1.79 | 93.81 | 4.23 | 0.17 | |||
| 旗山断裂带 | 乌山顶泥火山 | 1.66~1.70 | 97.55~97.76 | 0.58~0.75 | -35.46 | ||
| 新养女湖泥火山 | 1.50~2.23 | 91.94~95.30 | 1.21~2.61 | 1.61~2.53 | 0.45~0.72 | -35.65 | |
| 纵谷断裂带 | 雷公火泥火山 | 3.93 | 95.73 | 0.19 | 0.14 | -50.30 | |
| 罗山泥火山 | 9.71~52.55 | 47.28~90.16 | 0.06~0.14 | -35.13~-34.39 | |||
Table8 Gas and carbon isotope analysis of some mud volcanoes in Taiwan region(After Chao et al., 2010)
| 断裂带 | 样品编号 | 气体成分/% | CH4/‰ | ||||
|---|---|---|---|---|---|---|---|
| Air | CH4 | CO2 | C2H6 | C3H8 | |||
| 触口断层 | 中仑泥火山 | 5.40~8.10 | 9.31~36.90 | 57.29~84.63 | 0.07~0.43 | -35.14~-33.68 | |
| 古亭坑断裂带 | 盐水坑 | 4.94 | 90.52 | 4.47 | 0.08 | ||
| 小滚水 | 1.25 | 97.50 | 1.22 | 0.04 | -60.22 | ||
| 月世界 | 1.47~1.55 | 97.43~97.49 | 0.96~1.00 | 0.04 | -56.16 | ||
| 滚水坪 | 1.79 | 93.81 | 4.23 | 0.17 | |||
| 旗山断裂带 | 乌山顶泥火山 | 1.66~1.70 | 97.55~97.76 | 0.58~0.75 | -35.46 | ||
| 新养女湖泥火山 | 1.50~2.23 | 91.94~95.30 | 1.21~2.61 | 1.61~2.53 | 0.45~0.72 | -35.65 | |
| 纵谷断裂带 | 雷公火泥火山 | 3.93 | 95.73 | 0.19 | 0.14 | -50.30 | |
| 罗山泥火山 | 9.71~52.55 | 47.28~90.16 | 0.06~0.14 | -35.13~-34.39 | |||
| [1] |
陈秉范. 1946. 四川盆地式泥火山的发现[J]. 地质论评, 11(S1): 65—70.
|
|
|
|
| [2] |
陈胜红, 贺振华, 何家雄, 等. 2009. 南海东北部边缘台西南盆地泥火山特征及其与油气运聚关系[J]. 天然气地球科学, 20(6): 872—878.
|
|
|
|
| [3] |
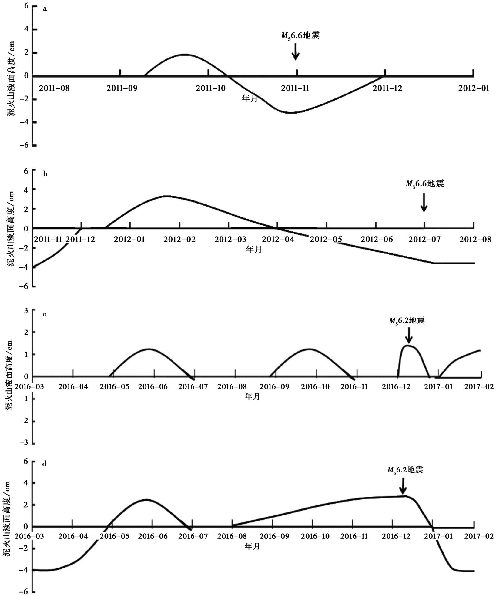
陈志, 杜建国, 周晓成, 等. 2014. 2012年6月30日新源 MS6.6 地震前后北天山泥火山及温泉的水化学变化[J]. 地震, 34(3): 97—107.
|
|
|
|
| [4] |
陈志, 李营, 汪成国, 等. 2015. 新疆温泉县泥火山喷发水的化学特征研究[J]. 四川地震, (2): 12—15.
|
|
|
|
| [5] |
戴金星, 吴小奇, 倪云燕, 等. 2012. 准噶尔盆地南缘泥火山天然气的地球化学特征[J]. 中国科学(地球科学), 42(2): 178—180.
|
|
|
|
| [6] |
杜建国, 周晓成, 陈志, 等. 2013. 北天山泥火山对2012年6月30日新源-和静 MS6.6 地震的响应[J]. 地震学报, 35(6): 876—887, 938.
|
|
|
|
| [7] |
冯兴雷, 付修根, 谭富文, 等. 2015. 羌塘盆地戈木错地区泥火山群沉积及浅表地球化学特征[J]. 沉积与特提斯地质, 35(1): 50—56.
|
|
|
|
| [8] |
高小其, 梁卉, 王海涛, 等. 2015. 北天山地区泥火山的地球化学成因[J]. 地震地质, 37(4): 1215—1224. doi: 10.3969/j.issn.0253-4967.2015.04.021.
|
|
|
|
| [9] |
高小其, 刘耀炜, 陈华静, 等. 2019. 我国地震地球化学的未来发展方向从泥火山地震宏观异常谈起[J]. 国际地震动态, (8): 131—133.
|
|
|
|
| [10] |
高小其, 王海涛, 高国英, 等. 2008. 霍尔果斯泥火山活动与新疆地区中强以上地震活动关系的初步研究[J]. 地震地质, 30(2): 464—472.
|
|
|
|
| [11] |
何家雄, 崔洁, 翁荣南, 等. 2012. 台湾南部泥火山与伴生气地质地球化学特征及其油气地质意义[J]. 天然气地球科学, 23(2): 319—326.
|
|
|
|
| [12] |
何胜. 2012. 从地质构造浅谈准噶尔盆地的油气勘探方向[J]. 中国石油和化工标准与质量, 33(13): 173.
|
|
|
|
| [13] |
胡东生, 张华京. 1998. 青藏高原可可西里地区玛章错钦湖畔苟纠麦尕沟的泥火山机理雏议[J]. 干旱区地理, 21(3): 13—18.
|
|
|
|
| [14] |
黄华谷, 邸鹏飞, 陈多福. 2011. 泥火山的全球分布和研究进展[J]. 矿物岩石地球化学通报, 30(2): 189—197.
|
|
|
|
| [15] |
黄华谷, 李牛, 王钦贤, 等. 2015. 新疆独山子泥火山沉积物及孔隙水的地球化学特征与流体来源[J]. 大地构造与成矿学, 39(2): 325—333.
|
|
|
|
| [16] |
蒋雨函, 高小其, 王阳洋, 等. 2020. 中国新疆北天山和台湾南部陆地泥火山研究进展[J]. 地震, 40(3): 65—82.
|
|
|
|
| [17] |
李锰, 王道, 李茂伟, 等. 1996. 新疆独山子泥火山喷发特征的研究[J]. 内陆地震, 10(4): 359—362.
|
|
|
|
| [18] |
梁卉, 高小其, 向阳, 等. 2018. 新疆北天山艾其沟泥火山强震前显著喷涌现象及其变化机理分析[J]. 中国地震, 34(3): 534—544.
|
|
|
|
| [19] |
刘耀炜, 施锦. 2000. 强震地下流体前兆信息特征[J]. 地震学报, 22(1): 102—107.
|
|
|
|
| [20] |
麻荣, 朱成英, 李新勇, 等. 2022. 新疆乌苏艾其沟泥火山气体排放通量及其前兆异常特征研究[J]. 内陆地震, 36(3): 218—226.
|
|
|
|
| [21] |
马晓理, 刘丽华, 魏雪芹, 等. 2017. 台湾新养女湖泥火山流体地球化学特征与流体来源[J]. 海洋地质与第四纪地质, 40(6): 71—81.
|
|
|
|
| [22] |
马勇, 马向贤, 张力, 等. 2022. 准噶尔盆地南缘白杨沟泥火山群地质流体的地球化学特征[J]. 地球化学, 51(4): 492—502.
|
|
|
|
| [23] |
覃千山, 承磊, 张辉, 等. 2015. 新疆泥火山微生物群落[J]. 中国沼气, 33(3): 3—9.
|
|
|
|
| [24] |
苏德辰, 李春旺, 孙爱萍, 等. 2017. 太行山北缘中元古界发现泥火山群[J]. 中国地质, 44(2): 399—400.
|
|
|
|
| [25] |
孙平安, 卞保力, 袁云峰, 等. 2015. 准噶尔盆地南缘天然气地球化学与成因研究[J]. 地球化学, 44(3): 275—288.
|
|
|
|
| [26] |
田孝茹, 卓勤功, 张健, 等. 2017. 准噶尔盆地南缘吐谷鲁群盖层评价及对下组合油气成藏的意义[J]. 石油与天然气地质, 38(2): 334—344.
|
|
|
|
| [27] |
王道. 2000. 新疆北天山地区泥火山与地震[J]. 内陆地震, 14(4): 350—353.
|
|
|
|
| [28] |
王道, 李茂玮, 李锰, 等. 1997. 新疆独山子泥火山喷发的初步研究[J]. 地震地质, 19(1): 14—16.
|
|
|
|
| [29] |
王海涛, 高小其, 李志海, 等. 2014. 新疆 MS6.0 和 MS6.62 次地震前近场泥火山宏观异常现象[J]. 地震学报, 36(1): 139—145.
|
|
|
|
| [30] |
王剑, 付修根. 2018. 论羌塘盆地沉积演化[J]. 中国地质, 45(2): 237—259.
|
|
|
|
| [31] |
解超明, 李才, 吴彦旺, 等. 2012. 青藏高原羌塘中部泥火山喷发物中沥青脉饱和烃气相色谱特征及其油气地质意义[J]. 地质通报, 31(6): 977—978.
|
|
|
|
| [32] |
阎贫, 王彦林, 于俊辉, 等. 2021. 东沙海区泥火山调查进展[J]. 热带海洋学报, 40(3): 34—43.
|
|
|
|
| [33] |
颜泽, 冯兴雷, 侯明才, 等. 2018. 羌塘盆地现代泥火山的发现及其油气地质意义[J]. 地质通报, 37(6): 1150—1156.
|
|
|
|
| [34] |
杨晓芳, 于红梅, 赵波, 等. 2014. 新疆北天山泥火山固体喷出物特征及成因机制初探[J]. 地震地质, 36(1): 123—136. doi: 10.3969/j.issn.0253-4967.2014.02.010.
|
|
|
|
| [35] |
杨志斌, 周亚龙, 孙忠军, 等. 2017. 羌塘盆地泥火山发育区天然气水合物地球化学勘查[J]. 物探与化探, 41(3): 452—458.
|
|
|
|
| [36] |
张培震, 邓起东, 杨晓平, 等. 1996. 天山的晚新生代构造变形及其地球动力学问题[J]. 中国地震, 12(2): 23—26.
|
|
|
|
| [37] |
钟华邦. 2010. 地质素描: 江苏泥火山[J]. 地质学刊, 34(2): 208.
|
|
|
|
| [38] |
朱婷婷, 陆现彩, 祝幼华, 等. 2009. 台湾西南部乌山顶泥火山的成因机制初探[J]. 岩石矿物学杂志, 28(5): 465—472.
|
|
|
|
| [39] |
|
| [40] |
|
| [41] |
|
| [42] |
|
| [43] |
|
| [44] |
|
| [45] |
|
| [46] |
|
| [47] |
|
| [48] |
|
| [49] |
|
| [50] |
|
| [51] |
|
| [52] |
|
| [53] |
|
| [54] |
|
| [55] |
|
| [56] |
DOI PMID |
| [57] |
|
| [58] |
|
| [59] |
|
| [60] |
|
| [61] |
DOI PMID |
| [62] |
|
| [63] |
|
| [64] |
|
| [65] |
|
| [66] |
|
| [67] |
|
| [68] |
|
| [69] |
|
| [70] |
|
| [71] |
|
| [72] |
|
| [73] |
|
| [74] |
|
| [75] |
|
| [76] |
|
| [1] | SU Shu-juan, CHEN Qi-feng, SUN Hao, LIU Jun, FENG Liang-le, XU Ji-long, YANG Yan-ming, LUO Kun-li. GEOCHEMICAL CHARACTERISTICS AND GENESIS OF SOIL GAS IN THE PINGYUAN M5.5 EARTHQUAKE [J]. SEISMOLOGY AND GEOLOGY, 2024, 46(2): 433-448. |
| [2] | LI Ying, FANG Zhen, ZHANG Chen-lei, LI Ji-ye, BAO Zhi-cheng, ZHANG Xiang, LIU Zhao-fei, ZHOU Xiao-cheng, CHEN Zhi, DU Jian-guo. RESEARCH PROGRESS AND PROSPECT OF SEISMIC FLUID GEOCHEMISTRY IN SHORT-IMMINENT EARTHQUAKE PREDICTION [J]. SEISMOLOGY AND GEOLOGY, 2023, 45(3): 593-621. |
| [3] | SHEN Hua-liang, YANG Yao, ZHOU Zhi-hua, RUI Xue-lian, LIAO Xiao-feng, ZHAO De-yang, LIANG Ming-jian, CHEN Meng-die, GUAN Zhi-jun, REN Hong-wei. GENESIS AND DEEP GEOTHERMAL PROCESS OF MAOYA HOT SPRINGS IN LITANG, WESTERN SICHUAN [J]. SEISMOLOGY AND GEOLOGY, 2023, 45(3): 689-709. |
| [4] | ZHANG Wen-liang, LI Ying, LIU Zhao-fei, HU Le, LU Chang, CHEN Zhi, HAN Xiao-kun. SPATIAL DISTRIBUTION CHARACTERISTICS OF SOIL GAS HE CONCENTRATION IN THE EASTERN LIUPANSHAN FAULT ZONE AND ITS RELATIONSHIP WITH TECTONIC ACTIVITY [J]. SEISMOLOGY AND GEOLOGY, 2023, 45(3): 753-771. |
| [5] | ZHU Cheng-ying, YAN Wei, MA Rong, LI Zhi-hai, WANG Cheng-guo, HUANG Jian-ming, ZHOU Xiao-cheng. GEOCHEMICAL CHARACTERIZATION OF FAULT GAS IN MACRO-SEISMIC INTENSITY AND AFTERSHOCK DISTRIBUTION OF JINGHE MS6.6 EARTHQUAKE ON AUGUST 9, 2017 [J]. SEISMOLOGY AND GEOLOGY, 2022, 44(5): 1225-1239. |
| [6] | ZHOU Bing-rui, PAN Bo, YUN Sung-hyo, CHANG Cheol-woo, YAN Li-li. NEW UNDERSTANDING OF THE MAGMA EVOLUTION OF CHANGBAISHAN-TIANCHI VOLCANO BASED ON MELTS SIMULATION [J]. SEISMOLOGY AND GEOLOGY, 2022, 44(4): 831-844. |
| [7] | HAO Hong-tao, WANG Qing-hua, ZHANG Xin-lin, WEI Jin, WU Gui-ju, HU Min-zhang. A STUDY ON LONG-TERM GRAVITY VARIATION AND ITS MECHANISM IN THE WESTERN YUNNAN EARTHQUAKE PREDICTION STUDY AREA [J]. SEISMOLOGY AND GEOLOGY, 2022, 44(4): 876-894. |
| [8] | LU Chang, ZHOU Xiao-cheng, LI Ying, LIU Lei, YAN Yu-cong, XU Yue-ren. HYDROGEOCHEMICAL CHARACTERISTICS OF GROUND-WATER IN THE SURFACE RUPTURE ZONE OF MADOI MS7.4 EARTHQUAKE AND HOT SPRINGS IN THE EAST KUNLUN FAULT [J]. SEISMOLOGY AND EGOLOGY, 2021, 43(5): 1101-1126. |
| [9] | ZHU Cheng-ying, ZHOU Xiao-cheng, MA Rong, YAN Wei, LIANG Hui, ZHANG Tao, GAO Xiao-qi, YAN Yu-cong. THE FLUID GEOCHEMICAL VARIATION CHARACTERISTICS OF THE WUSU MUD VOLCANOES BEFORE THE JINGHE EARTHQUAKE OF MS6.6 ON AUGUST 9, 2017 [J]. SEISMOLOGY AND GEOLOGY, 2019, 41(4): 1060-1075. |
| [10] | XIONG Zhen, LI Qing-he, ZHANG Yuan-sheng, HOU Kang-min, JIN Shu-mei, ZHOU Cai-xia. PRELIMINARY DISCUSSION ON THE POSSIBLE AREA OF STRONG EARTHQUAKE OCCURRENCE IN FUTURE ALONG THE SHANDONG-JIANGSU-ANHUI SEGMENT OF TANCHENG-LUJIANG FAULT ZONE [J]. SEISMOLOGY AND GEOLOGY, 2016, 38(4): 964-977. |
| [11] | YU Hong-mei, ZHAO Bo, WEI Fei-xiang, XU Jian-dong, WANG Qing-min. petrological and geochemical characteristics of quarternary volcanic rocks in haixing area, eastern north china [J]. SEISMOLOGY AND GEOLOGY, 2015, 37(4): 1070-1083. |
| [12] | GAO Xiao-qi, LIANG Hui, WANG Hai-tao, ZHENG Li-ming, LI Jie, ZHAO Chun-qing, XIANG Yang, ZHANG Tao. origin of the mud volcano in northern tianshan constrained by geochemical investigation [J]. SEISMOLOGY AND GEOLOGY, 2015, 37(4): 1215-1224. |
| [13] | SONG Dong-mei, SHI Hong-tao, SHAN Xin-jian, LIU Xue-mei, CUI Jian-yong, SHEN Chen, QU Chun-yan, SHAO Hong-mei, WANG Yi-bo, ZANG Lin, CHEN Wei-min, KONG Jian. A TENTATIVE TEST ON MODERATELY STRONG EARTHQUAKE PREDICTION IN CHINA BASED ON THERMAL ANOMALY INFORMATION AND BP NEURAL NETWORK [J]. SEISMOLOGY AND GEOLOGY, 2015, 37(2): 649-660. |
| [14] | ZHU Yi-qing, FU Guang-yu, LIANG Wei-feng, XU Yun-ma. EARTHQUAKE PREDICTIONS: SPATIAL-TEMPORAL GRAVITY CHANGES BEFORE THE LUDIAN MS6.5, LUSHAN MS7.0 AND WENCHUAN MS8.0 EARTHQUAKES [J]. SEISMOLOGY AND GEOLOGY, 2015, 37(1): 319-330. |
| [15] | LI Xin, LIU Jia-qi, SUN Chun-qing, DU De-dao, Wang Shi. THE MAGMA SOURCE PROPERTIES AND EVOLUTION OF HOLOCENE VOLCANOES IN TENGCHONG, YUNNAN PROVINCE, SW CHINA [J]. SEISMOLOGY AND GEOLOGY, 2014, 36(4): 991-1008. |
| Viewed | ||||||
|
Full text |
|
|||||
|
Abstract |
|
|||||