地震地质 ›› 2020, Vol. 42 ›› Issue (1): 125-146.DOI: 10.3969/j.issn.0253-4967.2020.01.009
收稿日期:2019-06-19
出版日期:2020-02-20
发布日期:2020-06-17
作者简介:〔作者简介〕 兰剑, 男, 1994年生, 现为中国地震局地质研究所构造地质专业在读硕士研究生, 主要从事地震地质灾害研究, 电话: 18500237763, E-mail: lanjian@ies.ac.cn。
基金资助:Received:2019-06-19
Online:2020-02-20
Published:2020-06-17
摘要:
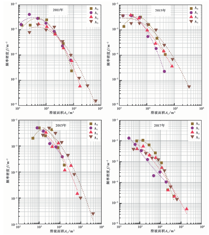
强烈的地震不仅能够在山岳地区触发大量的同震滑坡, 对震后灾区地质灾害的发育水平也存在重要影响。 因此, 研究地震滑坡的演化特征对于强震区地质灾害防治具有重要作用。 文中以2008年MS8.0汶川地震震中附近受到强震扰动的映秀为研究区, 通过对该区域(面积约66km2)震前1期(2005年4月)、 震后5期(2008年6月、 2011年4月、 2013年4月、 2015年5月和2017年5月)的高分辨率影像进行滑坡解译和编录, 借助GIS平台, 获取了高程、 坡度、 坡向、 曲率、 地层岩性、 距最近水系的距离和距发震断裂的距离这7个主要因子的数据, 研究地震滑坡的长期演化特征; 同时, 应用相关分析方法对比了不同时期的滑坡活动性强度, 对该区域内汶川地震诱发的滑坡灾害的演化规律进行了研究。 结果表明, 2008—2017年, 研究区内的滑坡总面积急剧减少, 同震滑坡面积从21.41km2降低到1.33km2, 表明震后滑坡的灾害活动程度已经恢复或接近震前水平。 整体而言, 研究区内滑坡的规模不断减小, 滑坡活动性随着时间减弱, 再活动滑坡和新增滑坡数量也相应减少。 滑坡灾害体面积减少的区域主要集中在高程为1 000~2 100m、 坡度为30°~55°、 坡向为40°~180°、 曲率为-2~2的区域。 此外, 汶川地震映秀研究区中的彭灌杂岩体环境更利于滑坡的产生, 而沉积碎屑岩岩性更利于滑坡活动性的恢复。 距最近水系的距离>1 600m时, 水系对滑坡的影响作用逐渐减小, 且研究区地震滑坡存在上盘效应, 即断裂西北地区的滑坡数量远多于东南一侧。
中图分类号:
兰剑, 陈晓利. 2008年MS8.0汶川地震诱发滑坡灾害在映秀地区的演化特征[J]. 地震地质, 2020, 42(1): 125-146.
LAN Jian, CHEN Xiao-li. EVOLUTION CHARACTERISTICS OF LANDSLIDES TRIGGERED BY 2008 MS8.0 WENCHUAN EARTHQUAKE IN YINGXIU AREA[J]. SEISMOLOGY AND GEOLOGY, 2020, 42(1): 125-146.
| 日期 | 影像来源 | 分辨率/m |
|---|---|---|
| 2005年6月26日 | Quick Bird | 2.4 |
| 2008年6月 | Aerial Photo | 2.5 |
| 2011年4月26日 | WorldView-2 | 2 |
| 2013年4月13日 | Pleiades | 2 |
| 2015年5月15日 | Spot5 | 2.5 |
| 2017年5月1日 | Google Earth |
表1 各期遥感影像的基本信息
Table1 Basic information of remote sensing images in each period
| 日期 | 影像来源 | 分辨率/m |
|---|---|---|
| 2005年6月26日 | Quick Bird | 2.4 |
| 2008年6月 | Aerial Photo | 2.5 |
| 2011年4月26日 | WorldView-2 | 2 |
| 2013年4月13日 | Pleiades | 2 |
| 2015年5月15日 | Spot5 | 2.5 |
| 2017年5月1日 | Google Earth |
| 滑坡活动性等级 | 定 义 |
|---|---|
| A1 | 再活动面积小于上期滑坡的1/3 |
| A2 | 再活动面积大于上期滑坡的1/3、 小于2/3 |
| A3 | 再活动面积大于上期滑坡的2/3 |
| A0 | 无可识别的滑坡活动, 可能为处于休眠期的滑坡体 |
表2 滑坡活动性等级
Table2 Levels of landslide activity
| 滑坡活动性等级 | 定 义 |
|---|---|
| A1 | 再活动面积小于上期滑坡的1/3 |
| A2 | 再活动面积大于上期滑坡的1/3、 小于2/3 |
| A3 | 再活动面积大于上期滑坡的2/3 |
| A0 | 无可识别的滑坡活动, 可能为处于休眠期的滑坡体 |
| 年份 | 活动滑坡和新滑坡 | 休眠期滑坡体 | ||||||
|---|---|---|---|---|---|---|---|---|
| 总数量/个 | 数量 | 总面积/km2 | 数量/个 | 面积/km2 | ||||
| A1 | A2 | A3 | 新滑坡 | |||||
| 2005 | 8 | 0.11 | ||||||
| 2008 | 304 | 21.41 | ||||||
| 2011 | 235 | 75 | 51 | 74 | 35 | 9.25 | 76 | 1.88 |
| 2013 | 190 | 43 | 50 | 79 | 18 | 5.20 | 67 | 1.21 |
| 2015 | 152 | 25 | 31 | 72 | 24 | 2.87 | 38 | 0.26 |
| 2017 | 99 | 21 | 35 | 32 | 11 | 1.33 | 67 | 0.47 |
表3 多期滑坡编录图信息汇总
Table3 Summary of multi-temporal landslide inventory
| 年份 | 活动滑坡和新滑坡 | 休眠期滑坡体 | ||||||
|---|---|---|---|---|---|---|---|---|
| 总数量/个 | 数量 | 总面积/km2 | 数量/个 | 面积/km2 | ||||
| A1 | A2 | A3 | 新滑坡 | |||||
| 2005 | 8 | 0.11 | ||||||
| 2008 | 304 | 21.41 | ||||||
| 2011 | 235 | 75 | 51 | 74 | 35 | 9.25 | 76 | 1.88 |
| 2013 | 190 | 43 | 50 | 79 | 18 | 5.20 | 67 | 1.21 |
| 2015 | 152 | 25 | 31 | 72 | 24 | 2.87 | 38 | 0.26 |
| 2017 | 99 | 21 | 35 | 32 | 11 | 1.33 | 67 | 0.47 |
| 影响因子 | 相关性参数 | 面积 | 高程/m | 坡度 | 坡向 | 曲率 | 距最近水系距离 |
|---|---|---|---|---|---|---|---|
| 高程 | R | 0.244 | |||||
| p | 0.000 | ||||||
| 坡度 | R | 0.044* | 0.290 | ||||
| p | 0.449* | 0.000 | |||||
| 坡向 | R | -0.136 | -0.301 | -0.105* | |||
| p | 0.017 | 0.000 | 0.067* | ||||
| 曲率 | R | -0.012* | 0.175 | 0.257 | 0.045* | ||
| p | 0.831* | 0.002 | 0.000 | 0.430* | |||
| 距最近水系 的距离 | R | 0.023* | 0.522 | 0.087* | -0.161 | -0.040* | |
| p | 0.691* | 0.000 | 0.128* | 0.005 | 0.485* | ||
| 距发震断裂 的距离 | R | 0.080* | 0.306 | 0.065* | -0.106* | 0.015* | -0.172 |
| p | 0.166* | 0.000 | 0.257* | 0.064* | 0.789* | 0.003 |
表4 2008年的相关性分析结果
Table4 Correlation analysis of 2008
| 影响因子 | 相关性参数 | 面积 | 高程/m | 坡度 | 坡向 | 曲率 | 距最近水系距离 |
|---|---|---|---|---|---|---|---|
| 高程 | R | 0.244 | |||||
| p | 0.000 | ||||||
| 坡度 | R | 0.044* | 0.290 | ||||
| p | 0.449* | 0.000 | |||||
| 坡向 | R | -0.136 | -0.301 | -0.105* | |||
| p | 0.017 | 0.000 | 0.067* | ||||
| 曲率 | R | -0.012* | 0.175 | 0.257 | 0.045* | ||
| p | 0.831* | 0.002 | 0.000 | 0.430* | |||
| 距最近水系 的距离 | R | 0.023* | 0.522 | 0.087* | -0.161 | -0.040* | |
| p | 0.691* | 0.000 | 0.128* | 0.005 | 0.485* | ||
| 距发震断裂 的距离 | R | 0.080* | 0.306 | 0.065* | -0.106* | 0.015* | -0.172 |
| p | 0.166* | 0.000 | 0.257* | 0.064* | 0.789* | 0.003 |
| [1] | 陈桂华, 徐锡伟, 郑荣章, 等. 2008. 2008年汶川MS8.0地震地表破裂变形定量分析: 北川-映秀断裂地表破裂带[J]. 地震地质, 30(3): 723—738. |
| CHEN Gui-hua, XU Xi-wei, ZHENG Rong-zhang, et al.2008. Quantitative analysis of the co-seismic surface rupture of the 2008 Wenchuan earthquake, Sichuan, China along the Beichuan-Yingxiu Fault[J]. Seismology and Geology, 30(3): 723—738(in Chinese). | |
| [2] | 陈晓利, 邓俭良, 冉洪流. 2011. 汶川地震滑坡崩塌的空间分布特征[J]. 地震地质, 33(1): 191—202. doi: 10.3969/j.issn.0253-4967.2011.01.018. |
| CHEN Xiao-li, DENG Jian-liang, RAN Hong-liu.2011. Analysis of landslides triggered by Wenchuan earthquake[J]. Seismology and Geology, 33(1): 191—202(in Chinese). | |
| [3] | 陈晓利, 惠红军, 赵永红. 2014. 断裂性质与滑坡分布的关系: 以汶川地震中的大型滑坡为例[J]. 地震地质, 36(2): 358—367. doi: 10.3969/j.issn.0253-4967.2014.02.007. |
| CHEN Xiao-li, HUI Hong-jun, ZHAO Yong-hong.2014. Study on the fault mechanics influences on the landslides distribution: A case study from the Wenchuan earthquake[J]. Seismology and Geology, 36(2): 358—367(in Chinese). | |
| [4] | 陈晓利, 袁仁茂, 庾露. 2013. Newmark方法在庐山地震诱发滑坡分布预测研究中的应用[J]. 地震地质, 35(3): 661—670. doi: 10.3969/j.issn.0253-4967.2013.03.019. |
| CHEN Xiao-li, YUAN Ren-mao, YU Lu.2013. Applying the Newmark’s model to the assessment of earthquake-triggered landslides during the Lushan earthquake[J]. Seismology and Geology, 35(3): 661—670(in Chinese). | |
| [5] | 葛华, 陈启国, 王德伟. 2013. 地震滑坡危险性评价及编图: 以映秀震中区为例[J]. 中国地质, 40(2): 644—652. |
| GE Hua, CHEN Qi-guo, WANG De-wei.2013. The assessment and mapping of seismic landslide hazards: A case study of Yingxiu area, Sichuan Province[J]. Geology in China, 40(2): 644—652(in Chinese). | |
| [6] | 黄润秋. 2011. 汶川地震地质灾害后效应分析[J]. 工程地质学报, 19(2): 127—131. |
| HUANG Run-qiu.2011. After effect of geohazards induced by the Wenchuan earthquake[J]. Journal of Engineering Geology, 19(2): 127—131(in Chinese). | |
| [7] | 李秀珍, 孔纪名, 邓红艳, 等. 2009. “5·12”汶川地震滑坡特征及失稳破坏模式分析[J]. 四川大学学报(工程科学版), 41(3): 72—77. |
| LI Xiu-zhen, KONG Ji-ming, DENG Hong-yan, et al.2009. Analysis on characteristics and deformation failure mode of large-scale landslides induced by “5·12” Wenchuan earthquake[J]. Journal of Sichuan University(Engineering Science Edition), 41(3): 72—77(in Chinese). | |
| [8] | 刘洪兵, 朱晞. 1999. 地震中地形放大效应的观测和研究进展[J]. 世界地震工程, 15(3): 20—25. |
| LIU Hong-bing, ZHU Xi.1999. Advance on topographic amplification effects of seismic response[J]. World Information on Earthquake Engineering, 15(3): 20—25(in Chinese). | |
| [9] | 祁生文, 伍法权, 刘春玲, 等. 2004. 地震边坡稳定性的工程地质分析[J]. 岩石力学与工程学报, 23(16): 2792—2797. |
| QI Sheng-wen, WU Fa-quan, LIU Chun-ling, et al.2004. Engineering geology analysis on stability of slope under earthquake[J]. Chinese Journal of Rock Mechanics and Engineering, 23(16): 2792—2797(in Chinese). | |
| [10] | 田颖颖. 2016. 2013年甘肃省岷县地震滑坡空间分布规律及几何特征分析 [D]. 北京: 中国地质大学. |
| TIAN Ying-ying.2016. Spatial distribution and geometrical characteristic of landslides related the 2013 Minxian earthquake of Gansu Province [D]. China University of Geosciences, Beijing(in Chinese). | |
| [11] | 田颖颖, 许冲, 徐锡伟, 等. 2015. 2014年鲁甸MS6.5地震震前与同震滑坡空间分布规律对比分析[J]. 地震地质, 37(1): 291—306. doi: 10.3969/j.issn.0253-4967.2015.01.023. |
| TIAN Ying-ying, XU Chong, XU Xi-wei, et al.2015. Spatial distribution analysis of coseismic and pre-earthquake landslides triggered by the 2014 Ludian MS6.5 earthquake[J]. Seismology and Geology, 37(1): 291—306(in Chinese). | |
| [12] | 王朝阳. 2008. 坡向与斜坡稳定性的关系研究 [D]. 昆明: 昆明理工大学. |
| WANG Chao-yang.2008. Study on the relationship between slope direction and slope stability [D]. Kunming University of Science and Technology, Kunming(in Chinese). | |
| [13] | 王志华. 2007. 中国滑坡遥感及新进展[J]. 国土资源遥感, (4): 7—10. doi: 10.3969/j.issn.1001-070X.2007.04.002. |
| WANG Zhi-hua.2007. Remote sensing for landslides in China and its recent progress[J]. Remote Sensing for Land & Resources, (4): 7—10(in Chinese). | |
| [14] | 许冲. 2018. 环境地球科学之滑坡地震地质学[J]. 工程地质学报, 26(1): 207—222. doi: 10.13544/j.cnki.jeg.2018.01.022. |
| XU Chong.2018. Landslide seismology geology: A sub-discipline of environmental earth sciences[J]. Journal of Engineering Geology, 26(1): 207—222(in Chinese). | |
| [15] | 许冲, 戴福初, 徐锡伟. 2010. 汶川地震滑坡灾害研究综述[J]. 地质论评, 56(6): 860—874. |
| XU Chong, DAI Fu-chu, XU Xi-wei.2010. Wenchuan earthquake-induced landslides: An overview[J]. Geological Review, 56(6): 860—874(in Chinese). | |
| [16] | 许冲, 沈玲玲. 2014. 地震滑坡的坡向效应分析: 以2008年汶川地震为例[C]∥中国地球科学联合学术年会——专题15: 活动断层长期活动习性、 深部构造与地震论文集. |
| XU Chong, SHEN Ling-ling.2014. Analysis of the aspect effect of earthquake landslides: Taking the 2008 Wenchuan earthquake as an example[C]∥Proceedings of Annual Meeting of Chinese Geoscience Union-Session 15: Long-term Activity of Active Faults, Deep Structures and Earthquake(in Chinese). | |
| [17] | 许冲, 王世元, 徐锡伟, 等. 2018. 2017年8月8日四川省九寨沟MS7.0地震触发滑坡全景[J]. 地震地质, 40(1): 232—260. doi: 10.3969/j.issn.0253-4967.2018.01.017. |
| XU Chong, WANG Shi-yuan, XU Xi-wei, et al.2018. A panorama of landslides triggered by the 8 August 2017 Jiuzhaigou, Sichuan MS7.0 earthquake[J]. Seismology and Geology, 40(1): 232—260(in Chinese). | |
| [18] | 徐锡伟, 闻学泽, 叶建青, 等. 2008. 汶川MS8.0地震地表破裂带及其发震构造[J]. 地震地质, 30(3): 597—629. |
| XU Xi-wei, WEN Xue-ze, YE Jian-qing, et al.2008. The MS8.0 Wenchuan earthquake surface ruptures and its seismogenic structure[J]. Seismology and Geology, 30(3): 597—629(in Chinese). | |
| [19] | 于晓辉, 关会梅. 2009. 汶川地震映秀镇地质条件与地表破裂特征调查[J]. 防灾科技学院学报, 11(1): 57—61. |
| YU Xiao-hui, GUAN Hui-mei.2009. The survey of geological condition and surface rupture characters of Yingxiu town in the Wenchuan earthquake[J]. Journal of Institute of Disaster-Prevention Science and Technology, 11(1): 57—61(in Chinese). | |
| [20] | 殷跃平. 2009. 汶川八级地震滑坡特征分析[J]. 工程地质学报, 17(1): 29—38. |
| YIN Yue-ping.2009. Features of landslides triggered by the Wenchuan earthquake[J]. Journal of Engineering Geology, 17(1): 29—38(in Chinese). | |
| [21] | Boomer J J, Carlos E, Rodriguez C R.2002. Earthquake induced landslides in Central America[J]. Engineering Geology, 63(3-4): 189—220. doi: 10.1016/S0013-7952(01)00081-3. |
| [22] | Chen X L, Yu L, Wang M M, et al.2014. Brief communication: Landslides triggered by the MS=7.0 Lushan earthquake, China[J]. Natural Hazards and Earth System Sciences, 14(5): 1257—1267. |
| [23] | Cheng J D, Huang Y C, Wu L F, et al.2005. Hydrometeorological and landuse attributes of debris flows and debris floods during typhoon Toraji, July 29-30, 2001 in central Taiwan[J]. Journal of Hydrology, 306(1): 161—173. doi: 10.1016/j.jhydrol.2004.09.007. |
| [24] | Cui P, Zhu Y Y, Han Y S, et al.2009. The 12 May Wenchuan earthquake-induced landslide lakes: Distribution and preliminary risk evaluation[J]. Landslides, 6(3): 209—223. doi: 10.1007/s10346-009-0160-9. |
| [25] | Dai F C, Xu C, Yao X, et al.2011. Spatial distribution of landslides triggered by the 2008 MS8.0 Wenchuan earthquake, China[J]. Journal of Asian Earth Sciences, 40(4): 883—895. doi: 10.1016/j.jseaes.2010.04.010. |
| [26] | Fan X M, Domenech G, Scaringi G, et al.2018. Spatio-temporal evolution of mass wasting after the 2008 MW7.9 Wenchuan earthquake revealed by a detailed multi-temporal inventory[J]. Landslides, 15:2325—2341. doi: 10.1007/s10346-018-1054-5. |
| [27] | Gorum T, Fan X M, van Western C J, et al.2011. Distribution pattern of earthquake-induced landslides triggered by the 12 May 2008 Wenchuan earthquake[J]. Geomorphology, 133(3-4): 152—167. doi: 10.1016/j.geomorph.2010.12.030. |
| [28] | Harp E L, Jibson R L.1995. Inventory of landslides triggered by the 1994 Northridge, California earthquake [R]. US Geological Survey Open-file Report: 95—213. |
| [29] | Houvius N, Stark C P, Allen P A.1997. Sediment flux from a mountain belt derived by landslide mapping[J]. Geology, 25(3): 231—234. |
| [30] | Huang R Q, Fan X M.2013. The landslide story[J]. Nature Geoscience, 6(5): 325—326. |
| [31] | Huang R Q, Pei X J, Fan X M, et al.2012. The characteristics and failure mechanism of the largest landslide triggered by the Wenchuan earthquake, May 12, 2008, China[J]. Landslides, 9(1): 131—142. doi: 10.1007/s10346-011-0276-6. |
| [32] | Kamp U, Growley B J, Khattak G A, et al.2008. GIS-based landslide susceptibility mapping for the 2005 Kashmir earthquake region[J]. Geomorphology, 101(4): 631—642. |
| [33] | Keefer D K.1984. Landslides caused by earthquakes[J]. Geological Society of America Bulletin 95:406—421. doi: 10.1130/0016-7606(1985)962.0.CO;2. |
| [34] | Liu Y, Liu R G, Ge Q S.2010. Evaluating the vegetation destruction and recovery of Wenchuan earthquake using MODIS data[J]. Natural Hazards, 54(3): 851—862. |
| [35] | Malamud B D, Turcotte D L, Guzzetti F, et al.2004. Landslide inventories and their statistical properties[J]. Earth Surface Processes and Landforms, 29(6): 687—711. |
| [36] | Pelletier J D, Malamud B D, Blodgett T, et al.1997. Scale-invariance of soil moisture variability and its implications for the frequency-size distribution of landslides[J]. Engineering Geology, 48(3-4): 255—268. |
| [37] | Tang C X, van Western C J, Tanyas H, et al.2016. Analyzing post-earthquake landslide activity using multi-temporal landslide inventories near the epicentral area of the 2008 Wenchuan earthquake[J]. Natural Hazards and Earth System Sciences, 16(2): 1—26. doi: 10.5194/nhess-16-2641-2016. |
| [38] | Xu Q, Fan X M, Huang R Q, et al.2009. Landslide dams triggered by the Wenchuan earthquake, Sichuan Province, south west China[J]. Bulletin of Engineering Geology and the Environment, 68(3): 373—386. doi: 10.1007/s10064-009-0214-1. |
| [39] | Xu X W, Wen X Z, Yu G H, et al.2009. Coseismic reverse- and oblique-slip surface faulting generated by the 2008 MW7.9 Wenchuan earthquake, China[J]. Geology, 37(6): 515—518. |
| [40] | Yang W T, Qi W W, Wang M, et al.2017. Spatial and temporal analyses of post-seismic landslide changes near the epicenter of the Wenchuan earthquake[J]. Geomorphology, 276:8—15. doi: 10.1016/j.geomorph.2016.10.010. |
| [41] | Yin Y P, Wang F W, Sun P.2009. Landslide hazards triggered by the 2008 Wenchuan earthquake, Sichuan, China[J]. Landslides, 6(2): 139—152. doi: 10.1007/s10346-009-0148-5. |
| [1] | 宋冬梅, 王慧, 单新建, 王斌, 崔建勇. 基于最大切应变的震前GRACE重力异常信息提取方法[J]. 地震地质, 2022, 44(6): 1539-1556. |
| [2] | 魏延坤, 陈晓利. 不同地震滑坡危险性评价方法的适用性探讨——以玛多MS7.4地震为例[J]. 地震地质, 2022, 44(3): 590-603. |
| [3] | 王晓山, 万永革. 汶川地震前震中周围地壳应力场及应力方向集中的特征[J]. 地震地质, 2022, 44(2): 363-377. |
| [4] | 郭树松, 祝意青, 徐云马, 刘芳, 赵云峰, 张国庆, 朱辉. 汶川地震前失稳过程的重力场观测证据[J]. 地震地质, 2021, 43(6): 1368-1380. |
| [5] | 白仙富, 聂高众, 叶燎原, 戴雨芡, 余庆坤. 基于GIS和logistic模型的地震滑坡致死人数快速评估方法[J]. 地震地质, 2021, 43(5): 1250-1268. |
| [6] | 朱传华, 单新建, 张国宏, 焦中虎, 张迎峰, 李彦川, 乔鑫. 汶川地震热异常与构造应力关联的数值模拟[J]. 地震地质, 2019, 41(6): 1497-1510. |
| [7] | 宋冬梅, 向亮, 单新建, 尹京苑, 王斌, 崔建勇. 基于SVR模型的电离层TEC背景场构建方法[J]. 地震地质, 2019, 41(6): 1511-1528. |
| [8] | 马思远, 许冲, 王涛, 刘甲美. 应用2类Newmark简易模型进行2008年汶川地震滑坡评估[J]. 地震地质, 2019, 41(3): 774-788. |
| [9] | 徐志萍, 王夫运, 姜磊, 赵延娜, 杨利普, 唐淋. 龙门山中南段地壳上地幔三维密度结构[J]. 地震地质, 2019, 41(1): 84-98. |
| [10] | 陈晓利, 张凌, 王明明. 基于地震滑坡敏感性分析的同震滑坡分布格局——以2014年MS6.5鲁甸地震诱发滑坡为例[J]. 地震地质, 2018, 40(5): 1129-1139. |
| [11] | 尹得余, 刘启方, 刘畅, 季鑫洋. 基于近场强震记录和同震位移的汶川地震破裂过程[J]. 地震地质, 2018, 40(3): 698-717. |
| [12] | 赵由佳, 张国宏, 张迎峰, 单新建, 屈春燕. 基于连续-离散单元法的汶川地震动力学二维自发破裂全周期模拟研究[J]. 地震地质, 2018, 40(1): 12-26. |
| [13] | 刘远征, 马瑾, 马文涛, 姜彤. 探讨水头增量及其变化率对水库诱发地震活动的影响-以紫坪铺水库为例[J]. 地震地质, 2017, 39(3): 437-450. |
| [14] | 姚路, 马胜利, 王羽, 何宏林, 陈建业, 杨晓松, 嶋本利彦. 汶川地震断层岩的镜质体反射率——对断层同震摩擦滑动性质的约束[J]. 地震地质, 2016, 38(4): 817-829. |
| [15] | 魏本勇, 苏桂武. 基于投入产出分析的汶川地震灾害间接经济损失评估[J]. 地震地质, 2016, 38(4): 1082-1094. |
| 阅读次数 | ||||||
|
全文 |
|
|||||
|
摘要 |
|
|||||
